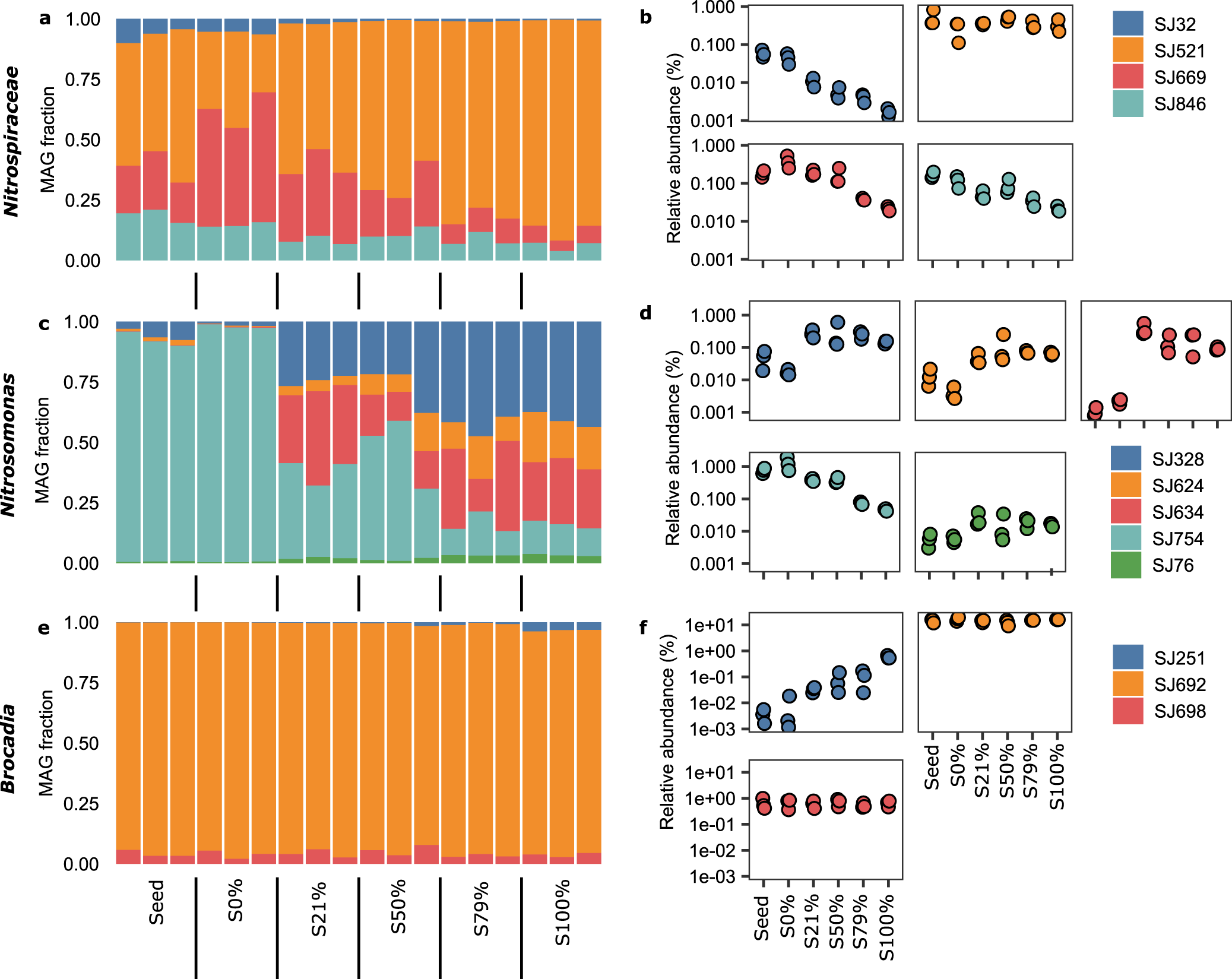
Fig. 5: Abundance of MAGs classified as Nitrospiraceae, Nitrosomonas and Brocadia.

a, c, and e Relative abundance within the group. b, d, and f Relative abundance against all the bins in the metagenome.

a, c, and e Relative abundance within the group. b, d, and f Relative abundance against all the bins in the metagenome.