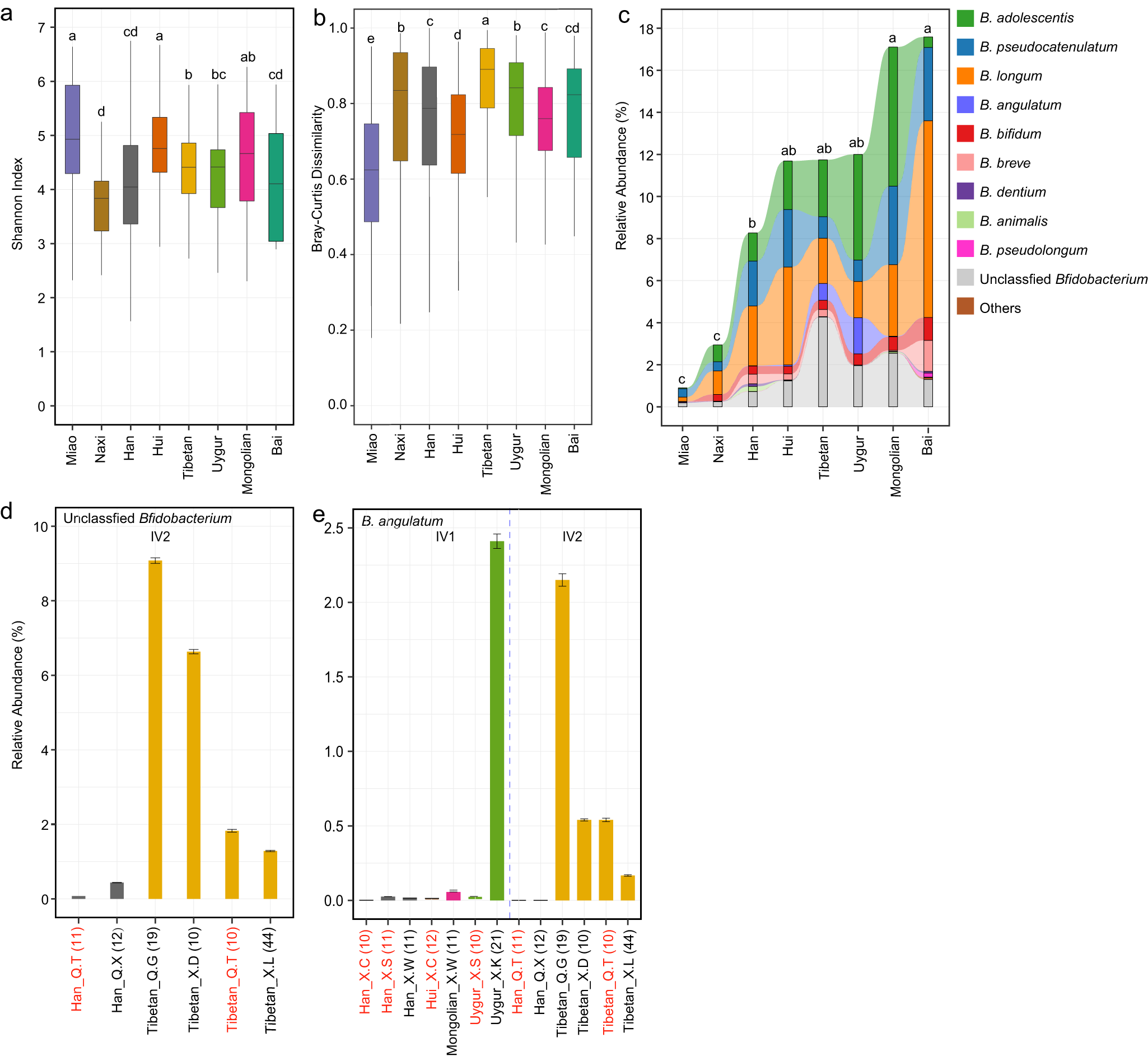
Fig. 4: Ethnicity-specific characteristics of the gut bifidobacterial community.

a Alpha diversity represented by Shannon Index. b Bray–Cutis dissimilarity within each ethnic group. a, b The center line of the boxplot represents the median, box limits represent upper and lower quartiles, and whiskers represent 1.5× interquartile range. c Composition of the bifidobacterial community in each ethnic group. Mean values are shown. a–c Different letters on the top indicate significant differences in alpha diversity, beta diversity, and relative abundance of total Bifidobacterium (p.adj < 0.1, one-way ANOVA and Fisher’s Least Significant Difference test). Han, n = 1349; Tibetan, n = 93; Bai, n = 14; Miao, n = 36; Naxi, n = 33; Uygur, n = 31; Hui, n = 72; Mongolian, n = 30. d Relative abundances of unclassified Bifidobacterium in different ethnic groups per sampling site in geographical zone IV2. e Relative abundances of B. angulatum in different ethnic groups per sampling site in IV1 and IV2. d–e The height of columns indicates mean value, and error bars indicate standard deviations. Labels on the horizontal axis indicate the name of ethnic groups and sampling sites, as well as the number of samples included; sampling sites having two ethnic groups were indicated in red.