Fig. 2: Growth kinetics parameters in species dropout experiments.
From: Emergent roles of infant gut microbes during the utilization of human milk oligosaccharides

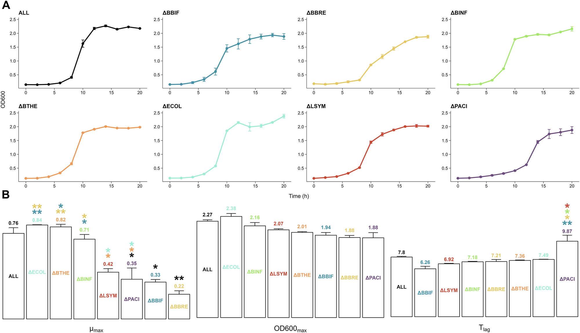
Growth curves from the dropout experiments (A) and statistical analysis of their parameters (B). Culture growth was quantified by measuring OD600max. Growth curves were adjusted to the Gompertz-Zwietering growth model to determine its parameters for each experiment. The parameters µmax associated with the maximum growth rate, OD600max associated with the maximum growth achieved, and Tlag associated with lag phase time were analyzed. Statistical significance is reported based on adjusted p-values, and the color code indicates the experiment to which it differs. For instance, for the Tlag parameter, two blue asterisks are observed over the ΔPACI experiment, indicating a significant difference compared to the ΔBBIF experiment (0.001 < ** < 0.01 < * < 0.05).