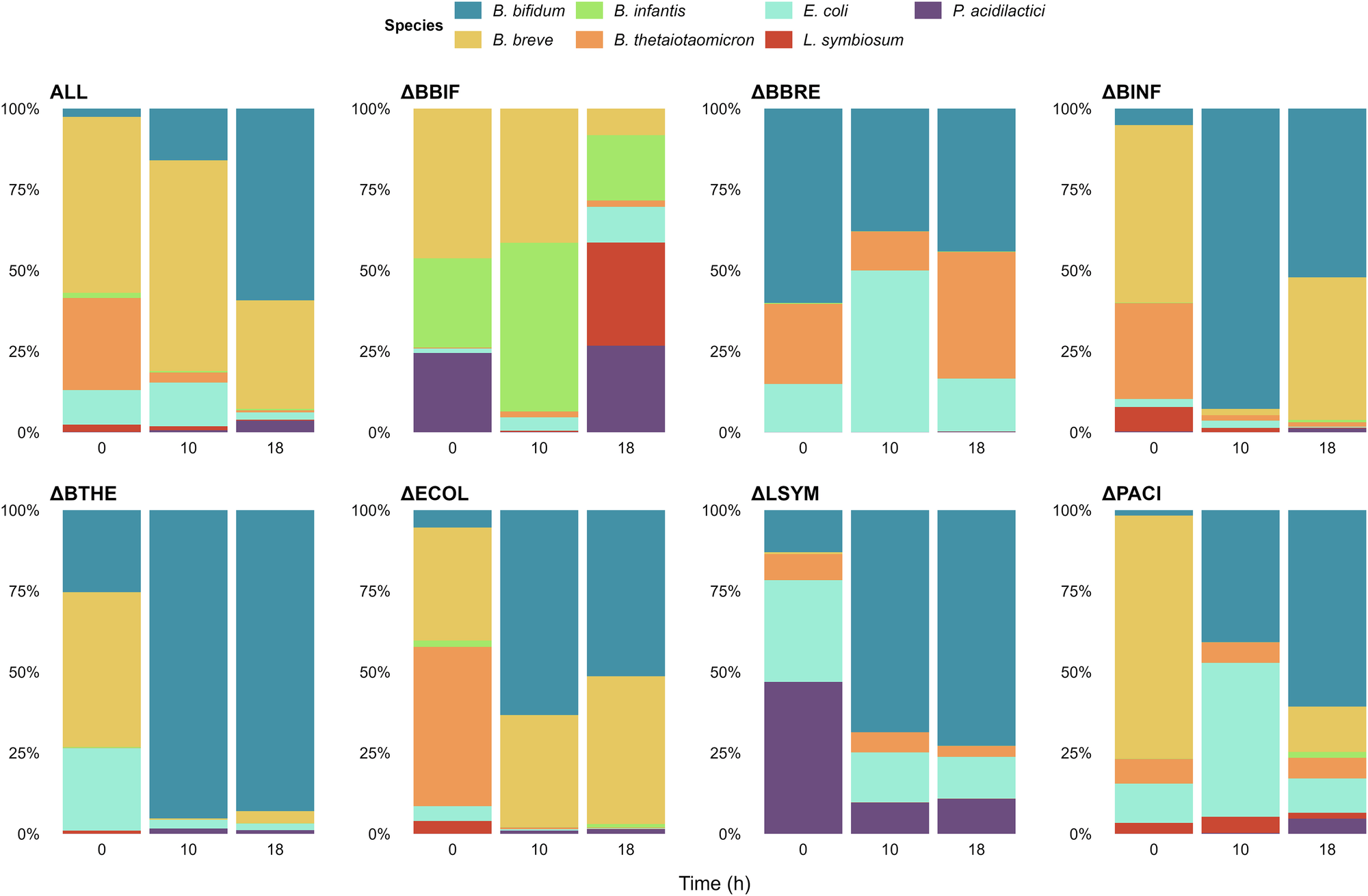
Fig. 3: Relative abundance of the strains used in this study.
From: Emergent roles of infant gut microbes during the utilization of human milk oligosaccharides

Relative abundance of species present in each experiment at three time points: initial time (0 h), exponential growth phase (10 h), and stationary growth phase (18 h). The relative abundance was calculated using specific primers for each species by qPCR to determine the quantity of cells present. Subsequently, counting and normalization were performed, allowing the relative amount of each to be calculated.