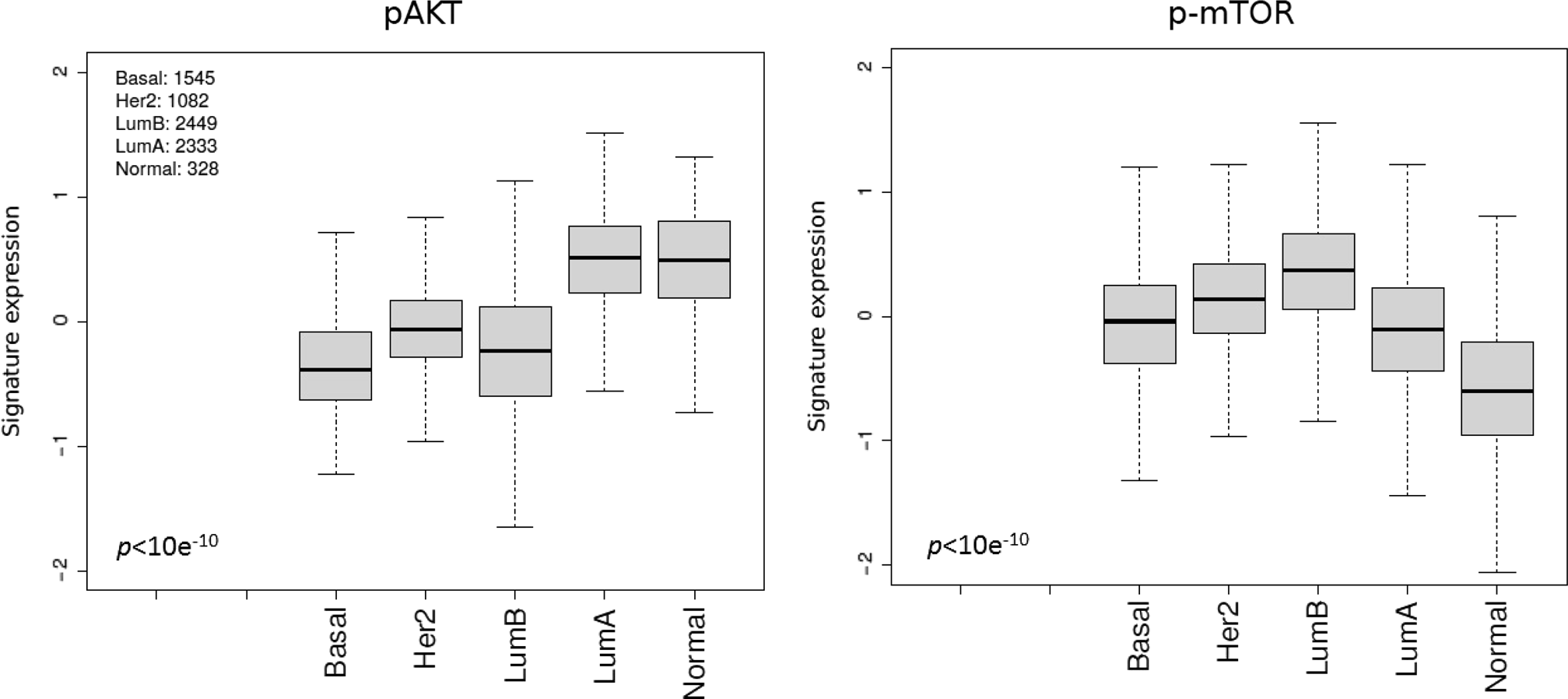
Fig. 2

pAKT (right) and p-mTOR (left) gene signatures expression in publicly available microarray datasets according to the PAM50 breast cancer subtype. Kruskal–Wallis p-value is shown

pAKT (right) and p-mTOR (left) gene signatures expression in publicly available microarray datasets according to the PAM50 breast cancer subtype. Kruskal–Wallis p-value is shown