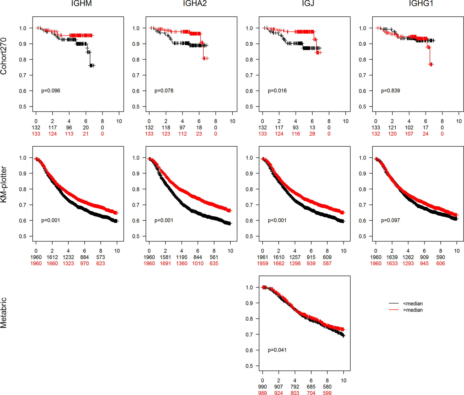
Fig. 5: Association of IG mRNA expression with recurrence-free survival.

Breast cancers from three data sets were grouped based on if the expression of IGHM, IGHA2, IGJ, and IGHG1 mRNA was larger (red curves) or smaller (black curves) than the median expression. The figures display Kaplan–Meier curves for the indicated mRNAs (top titles) and cohorts (titles to the left) using recurrence-free survival as end point. The follow-up time on the x-axis is indicated in years. The p values were estimated with the log rank test. The y-axes indicate years after diagnosis and number at risk in the groups.