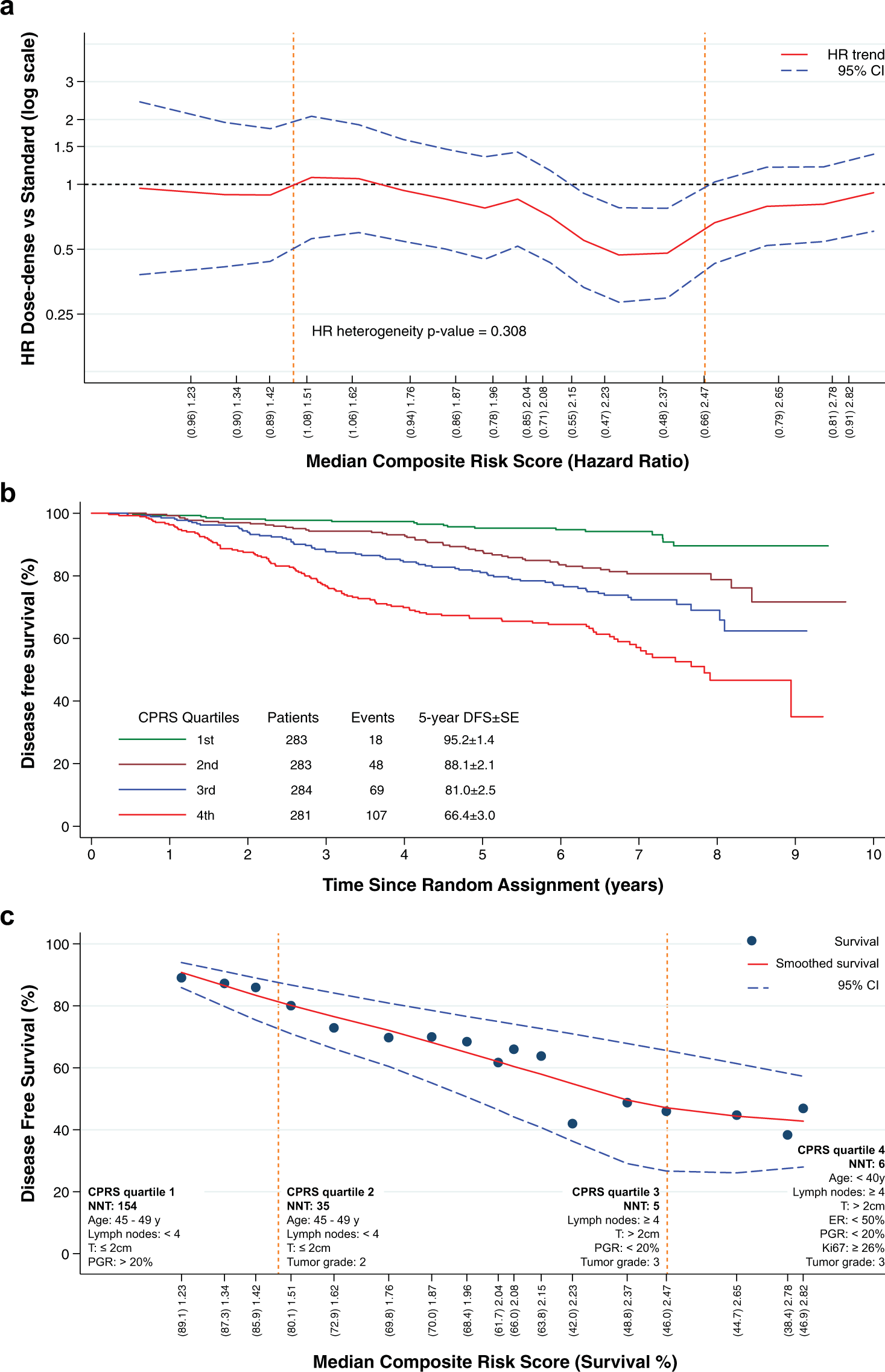
Fig. 3: DFS-oriented STEPP analysis.

(a), CPRS quartiles and prognosis in terms of DFS and 5-year DFS (b), disease-free survival according to Median Composite Score (c). To smooth the DFS curve and its pointwise confidence interval the LOWESS method with a bandwidth of 0.80 Q10 was applied. Overall, DFS differed widely across CPRS quartiles (b), with the number needed to treat (NNT) associated with the lowest CPRS quartile of 154 vs 6 for the highest quartile (c). Notably, the first CPRS quartile was characterized by age between 45 and 49 years, less than four lymph nodes involved, tumor size ≤2, and a PGR > 20 (c). The fourth CPRS was characterized by an age <40 years, ≥4 lymph nodes involved a tumor size >2, ER < 50, PGR < 20, G3, and a Ki-67 ≥ 26 (c). The 25th and the 75th percentiles are represented by the dashed lines.