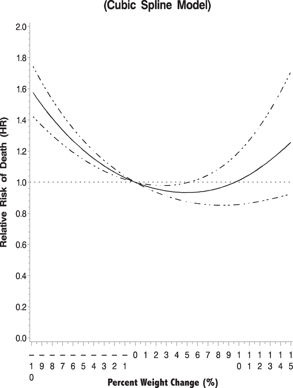
Fig. 2: One-year post-diagnosis weight change and all-cause mortality using cubic spline model (N = 4880; deaths = 525).
From: Post-diagnosis weight trajectories and mortality among women with breast cancer

Model adjusted for age at diagnosis (continuous), race and ethnicity, clinical stage, subtype (ER/PR+, HER2−; ER/PR+, HER2+; ER/PR−, HER2+, TNBC), receipt of chemotherapy (yes/no), receipt of radiation (yes/no), and BMI group at diagnosis (continuous). Error bars represent 95% confidence interval.