Fig. 6
From: A homozygous mutation in the stem II domain of RNU4ATAC causes typical Roifman syndrome

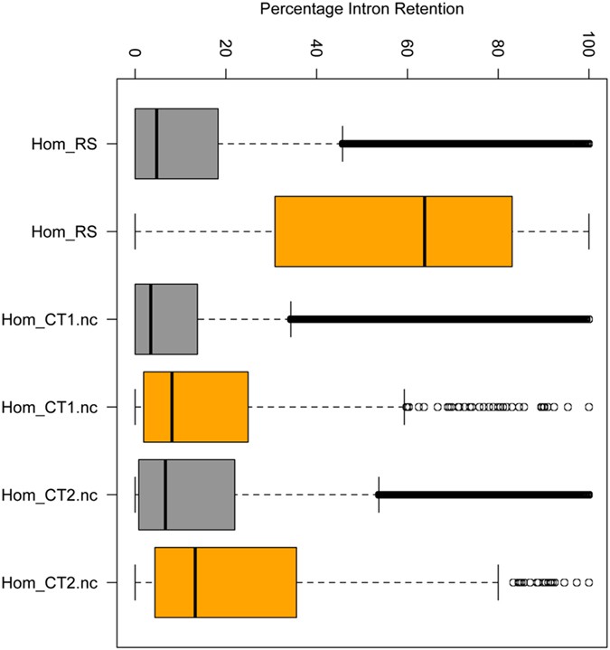
Percentage intron retention (PIR) in patient 1 and unaffected family members. PIR across different introns is displayed as a boxplot: the affected patient 1 clearly displays greater minor intron retention than the unaffected wild-type siblings, whereas major intron retention levels are lower and similar across samples. Hom_RS-patient 1; Hom_CT1.nc-unaffected, non-carrier male sibling of patient 1, aged 3 months; Hom_CT2.nc-unaffected, non-carrier male sibling of patient 1, aged 9 years. Grey boxes–major intron retention levels, orange boxes–minor intron retention levels.