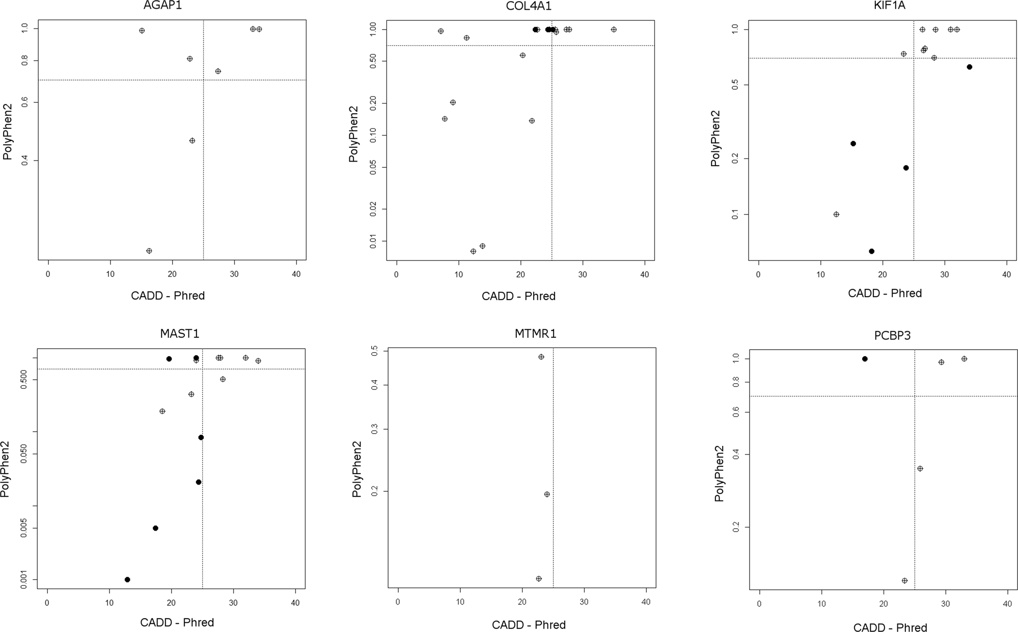
Fig. 1
From: Targeted resequencing identifies genes with recurrent variation in cerebral palsy

Scatterplots of CADD Phred vs PolyPhen2 scores for variants in genes with an overrepresentation of pathogenic variants in cerebral palsy cases compared to 1000 genomes controls. Controls—filled dots, CP cases—crossed dots