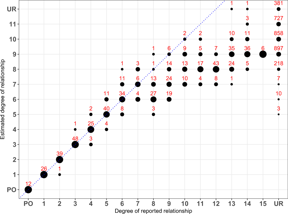
Fig. 1: The reported vs. estimated degree of relatedness in the SOD1 cohort using TRIBES.

The size of the circles represent the percentage of individual pairs whose estimated degree of relationship are exactly the same as their reported relationship. The number of pairs estimated at each point is labelled above the corresponding circle. PO and UR are abbreviations for parent–offspring pairs and unrelated pairs, respectively. Individuals were reported as unrelated if they belonged to different families or were sporadic cases. Circles that fall on the dotted line, y = x, indicate concordance between the reported and estimated relationship. TRIBES correctly estimated 99% of relationships to within 1 degree of the reported relationships for relatives up to 7th degree (third cousins) and identified 3, 10 and 7 pairs of seemingly unrelated individuals as 5th, 6th and 7th degree relatives, respectively. Degrees of reported relationships are obtained by the value of the kinship coefficients given a pedigree.