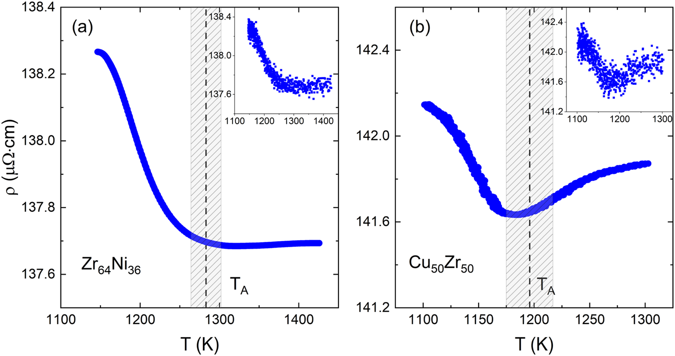
Fig. 1: The electrical resistivity, smoothed by 200-point averaging, as a function of liquid temperature near saturation, at or above TA, for two binary systems.

a Zr64Ni36 and b Cu50Zr50. The shaded regions represent the uncertainties in TA. The original unsmoothed data were shown in the insets. The data were reprinted with permission from ref. 18. Copyright (2019) by the American Physical Society.