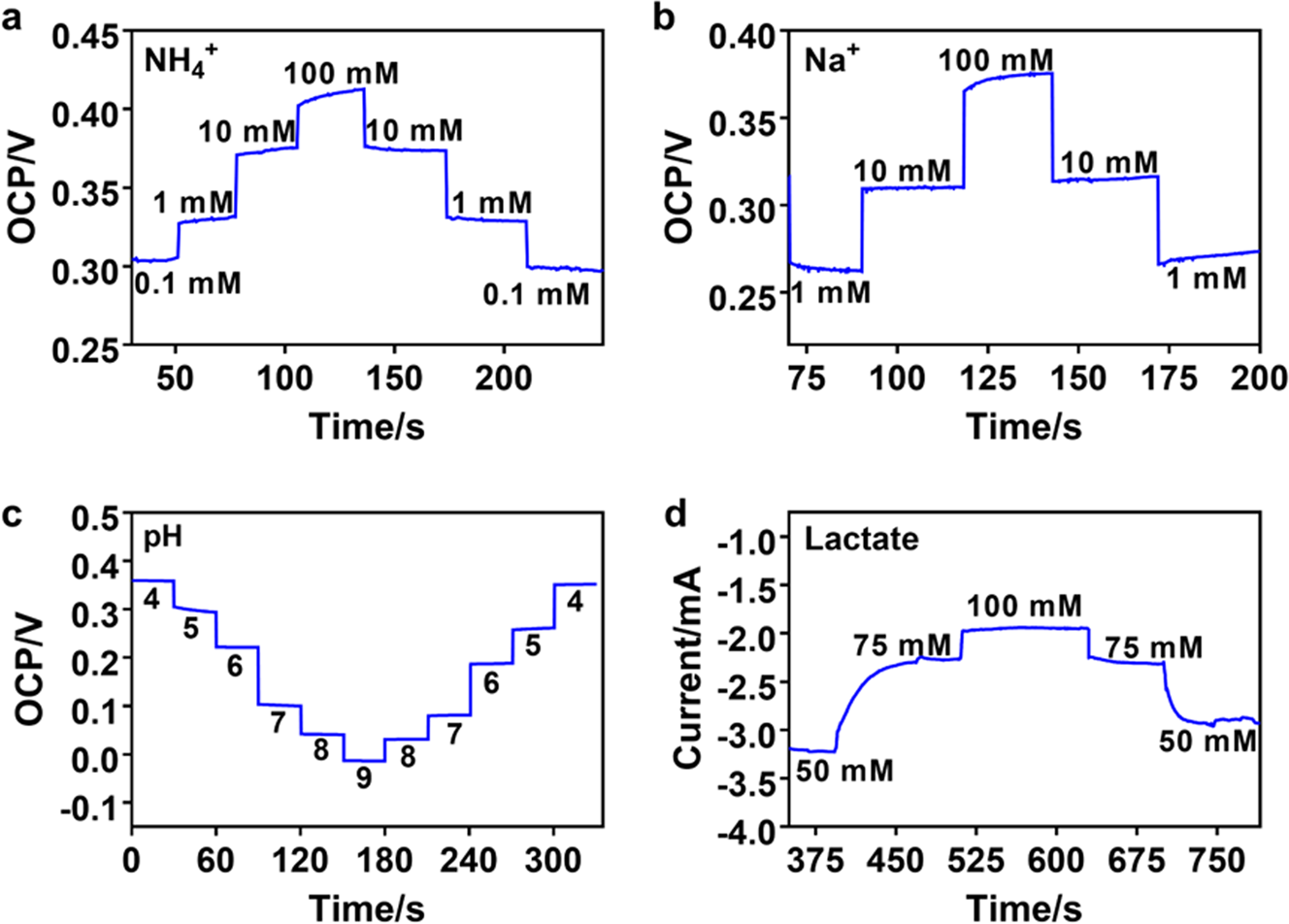
Fig. 5: Step response and hysteresis test of thread-based sweat sensors.
From: Thread-based multiplexed sensor patch for real-time sweat monitoring

Potentiometric response of a ammonium, b sodium, c pH, and chronoamperometric response of d lactate with changes in the analyte concentration without rinsing step.