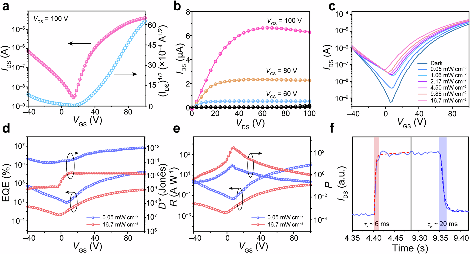
Fig. 4: Electrical and optoelectronic performance of (R)-P(NDI2MH-T2)-based OPTs.

a Transfer and b output characteristics of (R)-P(NDI2MH-T2)-based OPTs in dark condition. c IDS–VGS characteristics of (R)-P(NDI2MH-T2)-based OPTs under monochromatic light illumination (λ = 650 nm) varying in intensity (VDS = 100 V). Optoelectronic performances of (R)-P(NDI2MH-T2)-based OPTs. d EQE, D*, e R, and P values were plotted as a function of VGS under 650 nm monochromatic light irradiation at VDS = 100 V. f Real-time photoswitching graph with biexponential fitting curves for rise and decay time measurement.