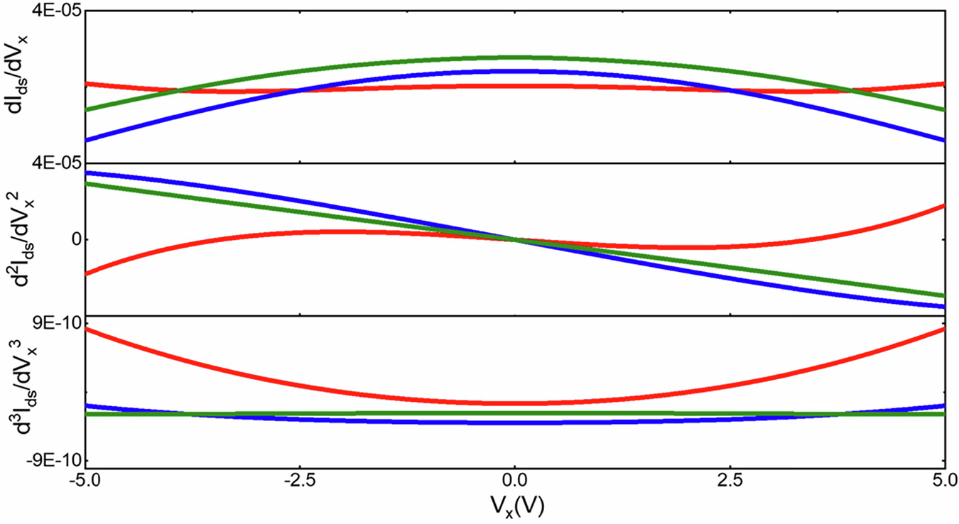
Fig. 7: Gummel symmetry test showing the first, second, and third-order derivatives of the drain current (Id) with respect to the gate voltage (Vx) for different gate voltages (Vg1 = Vg2 = 12 V, 16 V, 20 V)63.
From: Model representation in amorphous metal oxide thin-film transistors: a critical review

Top panel: First-order dIds/dVx (A/V). Middle panel: Second-order d2Ids/dVx2 (A/V²). Bottom panel: Third-order d3Ids/dVx3 (A/V³). Red: Vg1 = Vg2 = 12 V; blue: Vg1 = Vg2 = 16 V; green: Vg1 = Vg2 = 20 V.