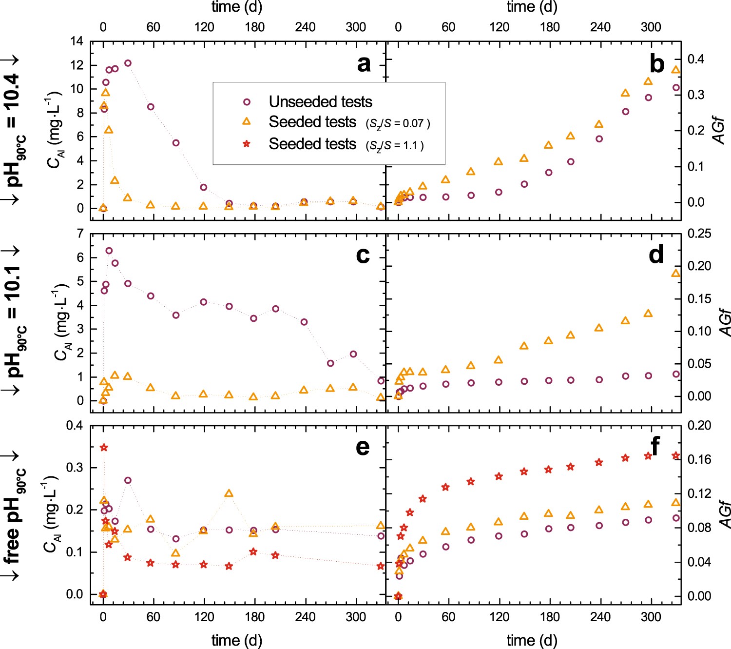
Fig. 9
From: Contribution of zeolite-seeded experiments to the understanding of resumption of glass alteration

Seeded vs. unseeded tests. Evolution over time of the aluminum concentration (C Al) and the altered glass fraction (AGf) in tests carried out with S/V = 1770 m−1 at pH90 °C = a, b 10.4, c,d 10.1 and e,f “free” pH ≈ 9