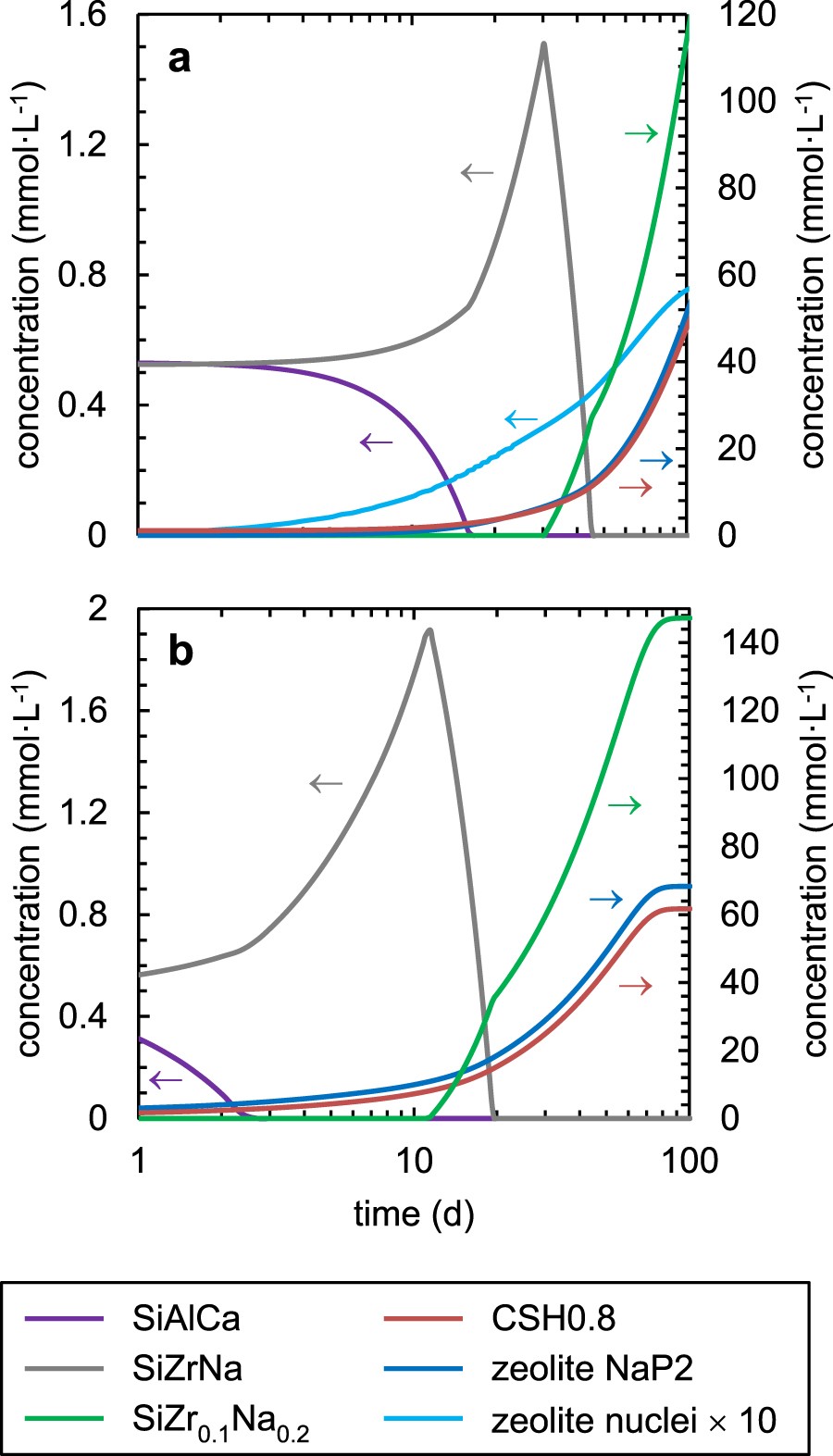
Fig. 5
From: Application of GRAAL model to the resumption of International Simple Glass alteration

End-members behavior over time. Evolution of the end-member and secondary phase concentrations in the modeling of a an unseeded (US-1770-10.7 33) and b a seeded (S-1770-10.7 33) test. The arrows indicate which y-axis to refer to