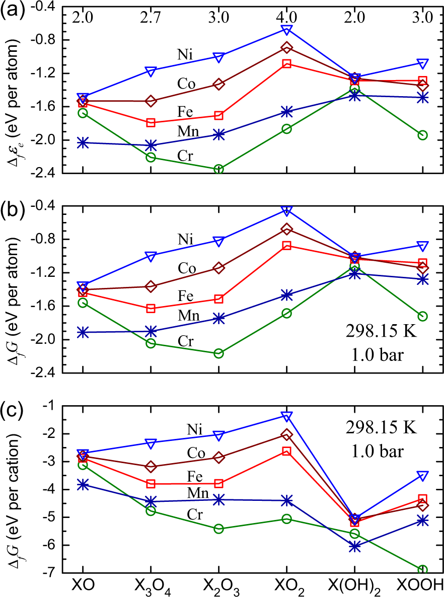
Fig. 2

The DFT–HSE06-calculated (a) electronic formation energies (\(\Delta _f\varepsilon _e\)) and (b, c) free energies of formation (\(\Delta _fG\) per atom and cation) for mTM compounds (X = Cr, Mn, Fe, Co, and Ni) at the standard condition. The nominal valences of the mTM cations are indicated on the upper axis of panel (a)