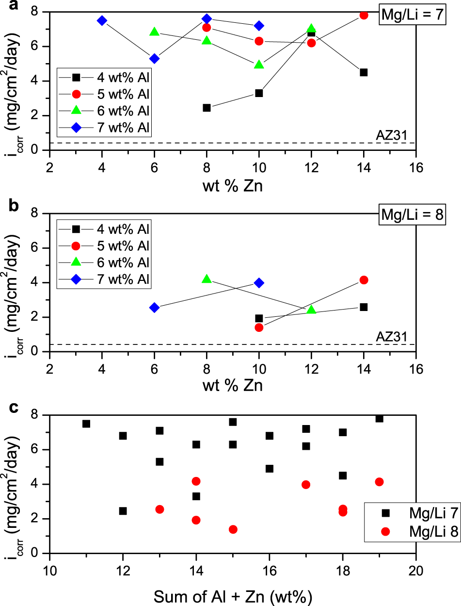
Fig. 7: The effect of Al and Zn on the corrosion of Mg-Li alloys.
From: The development of β phase Mg–Li alloys for ultralight corrosion resistant applications

a The corrosion rates of 7Mg/Li–Al–Zn alloys, b Mg/Li–Al–Zn alloys and c the effect of the sum of Al and Zn on corrosion of 7Mg/Li–Al–Zn and 8Mg/Li–Al–Zn. Data from Frost et al.11.