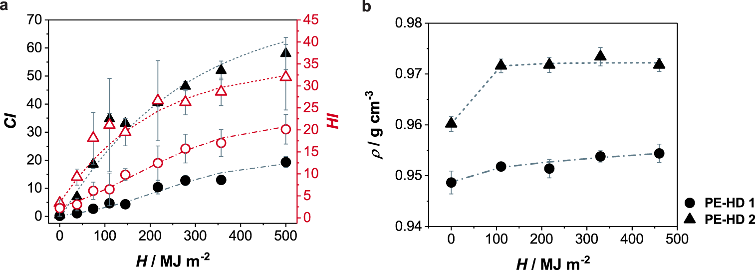
Fig. 3: Progression of degradation for increasing UV-radiative exposure.
From: Photo-oxidation of PE-HD affecting polymer/fuel interaction and bacterial attachment

The results of a carbonyl index CI and hydroxyl index HI, and b density ρ for UV-radiative exposure up to 500 MJ m−2 for PE-HD1 and PE-HD2 are demonstrated. The carbonyl index and hydroxyl index were determined on the UV lamp-facing side of the samples. The figure was drawn after data from ref. 16. Standard error of the mean value of n = 6 replicates (CI, HI) and of n = 4 replicates (ρ).