Thank you for visiting nature.com. You are using a browser version with limited support for CSS. To obtain
the best experience, we recommend you use a more up to date browser (or turn off compatibility mode in
Internet Explorer). In the meantime, to ensure continued support, we are displaying the site without styles
and JavaScript.
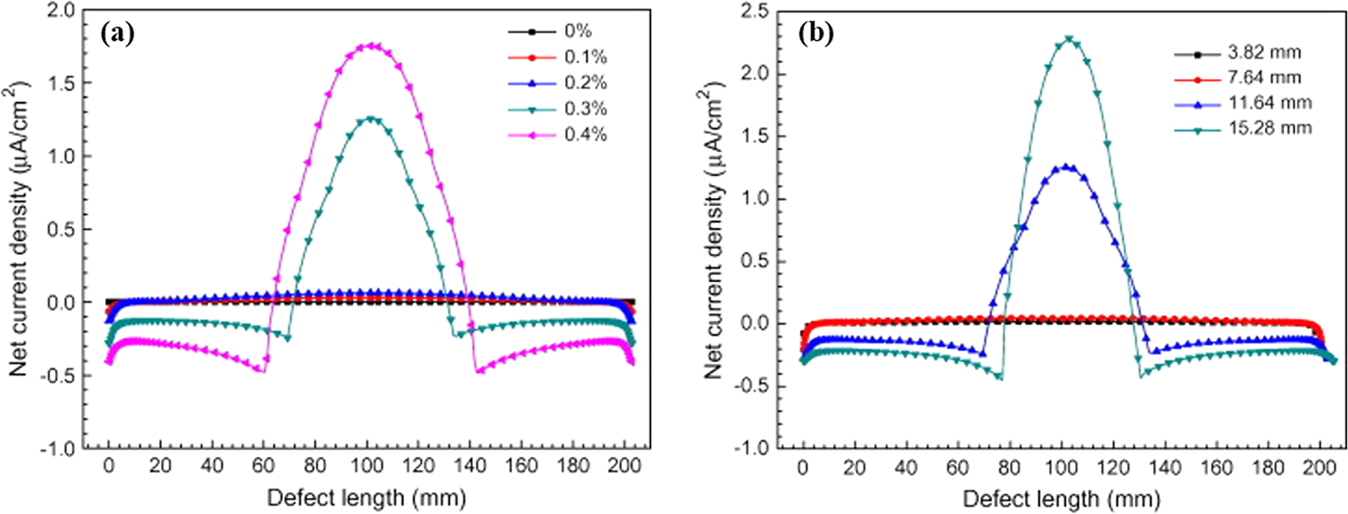
a Under different longitudinal tensile strains. b Under different corrosion depths62. Reproduced with permission from ref. 62, copyright (Elsevier, 2013).