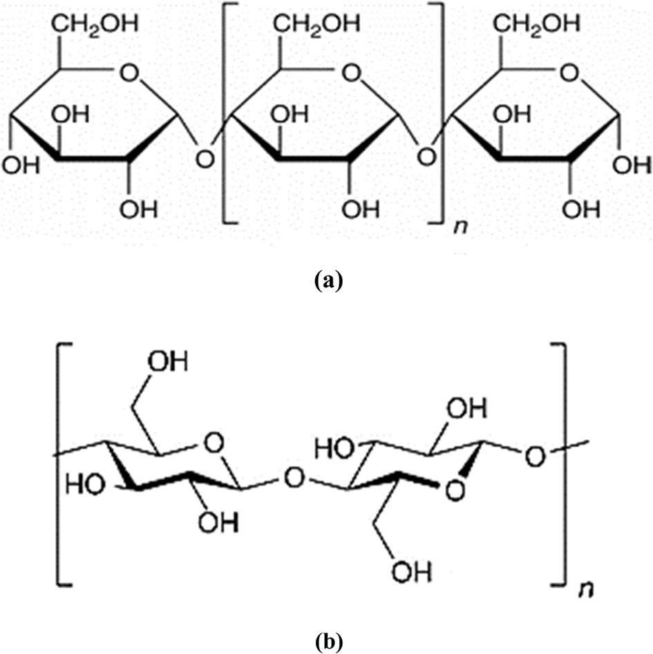
Fig. 4: Chemical structure. | npj Materials Degradation