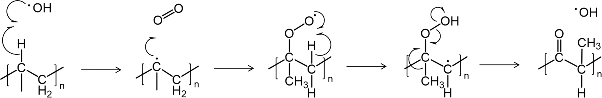
Fig. 8: Proposed cold-flame oxidation mechanism.

Proposed mechanism for the cool-flame oxidation for a polypropylene framework to form a carbonyl group at the initial stage.

Proposed mechanism for the cool-flame oxidation for a polypropylene framework to form a carbonyl group at the initial stage.