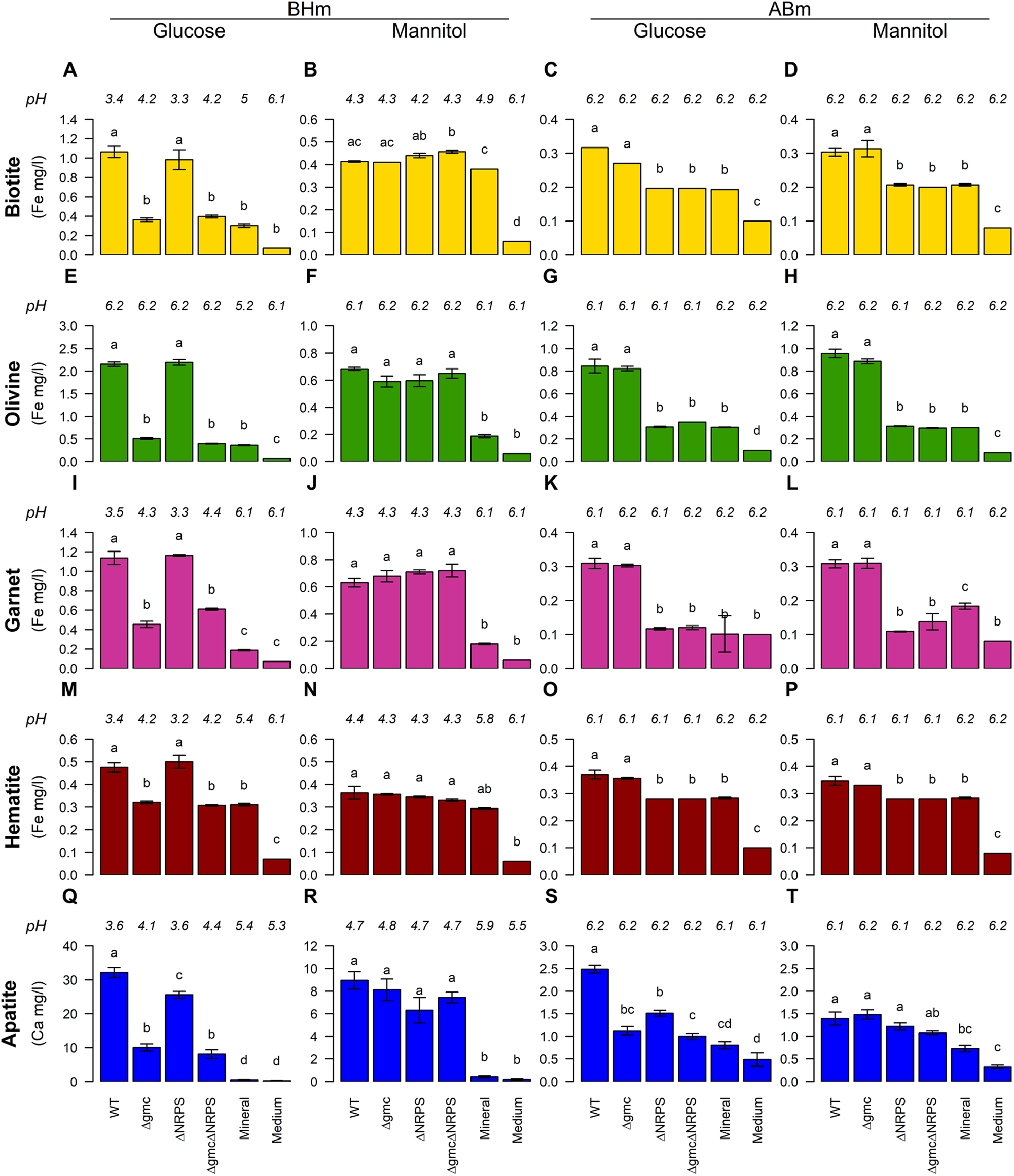
Fig. 4: Dissolution of different minerals by the strain PMB3(1) and its mutants (i.e. ∆gmc, ΔNRPS and ∆gmcΔNRPS).

The dissolution of minerals was determined by the concentration of (Fe or Ca) released from the minerals in the solution, after 7 days of incubation in a culture medium with low or high buffering capacity (BHm or ABm respectively) supplemented with glucose or mannitol (2 g/L). Non-inoculated controls with and without minerals allow to measure the passive dissolution and to validate the deficiency of the medium for the elements measured, respectively. The treatments are presented for each mineral considered as follows: for the biotite A BHm + Glucose; B BHm + Mannitol; C ABm + Glucose and D ABm + Mannitol; for the olivine E BHm + Glucose; F BHm + Mannitol; G ABm + Glucose and H ABm + Mannitol; for the garnet I BHm + Glucose; J BHm + Mannitol; K ABm + Glucose and L ABm + Mannitol; for the hematite M BHm + Glucose; N BHm + Mannitol; O ABm + Glucose and P ABm + Mannitol and for the apatite Q BHm + Glucose; R BHm + Mannitol; S ABm + Glucose and T ABm + Mannitol. The final pH of the medium is indicated in italics on the top of each graphic. Letters represent significant differences between the WT strain, mutants and non-inoculated controls (P < 0.05). The error bars indicate standard deviations. For leagibility reason, the scale of the y axis was adjusted to the values presented.