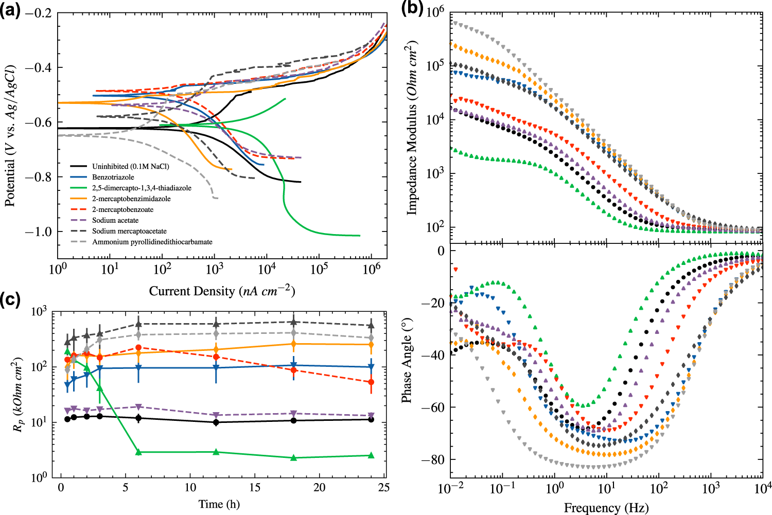
Fig. 1: AA2024-T3 samples exposed to 0.1 M NaCl solution in presence and absence of 1 mM inhibitors.
From: Laying the experimental foundation for corrosion inhibitor discovery through machine learning

a Potentiodynamic polarisation curves and b electrochemical impedance spectroscopy Bode modulus and phase angle plots recorded after 24 h of immersion, c linear polarisation resistance Rp values as functions of exposure time.