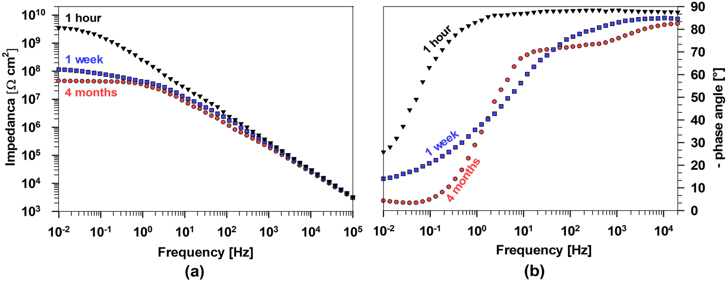
Fig. 7: EIS results for PEHA-SS-coated AlSi7Mg0.3 samples.

Bode plots of (a) impedance magnitude and (b) phase angle of AlSi7Mg0.3 coated with polyacrylic/siloxane-silica after immersion in 0.1 M NaCl for up to 4 months.

Bode plots of (a) impedance magnitude and (b) phase angle of AlSi7Mg0.3 coated with polyacrylic/siloxane-silica after immersion in 0.1 M NaCl for up to 4 months.