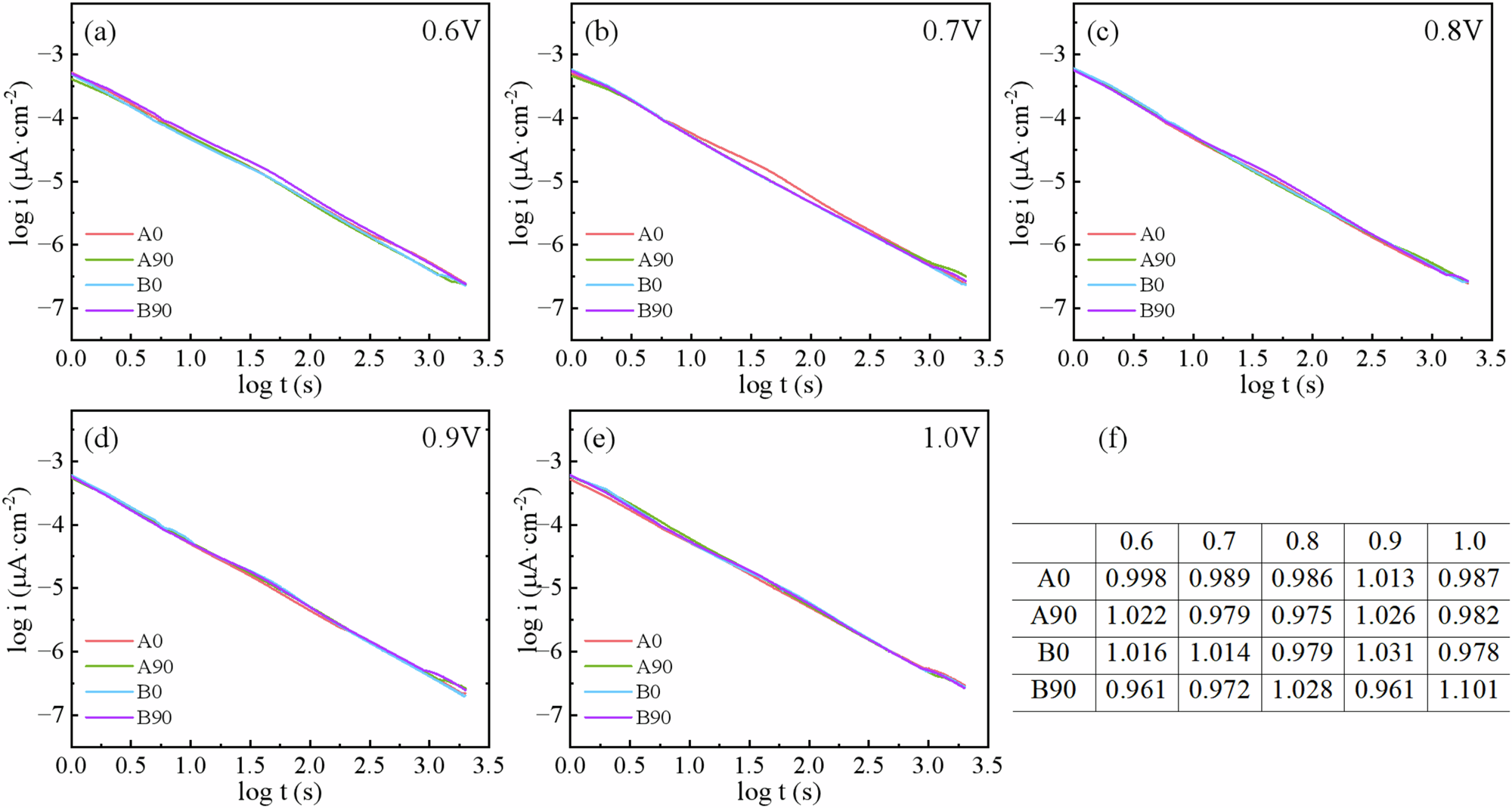
Fig. 6: Potentiostatic polarization curves of as-fabricated state and hot isostatic pressed (HIP) Ti-6Al-4V alloy prepared by EB-PBF at 37 °C at potentials of 0.6, 0.7, 0.8, 0.9 and 1.0 VSCE in ASS solution.

a–e Double-log plots of current-time, f the fitted slope of the plot.