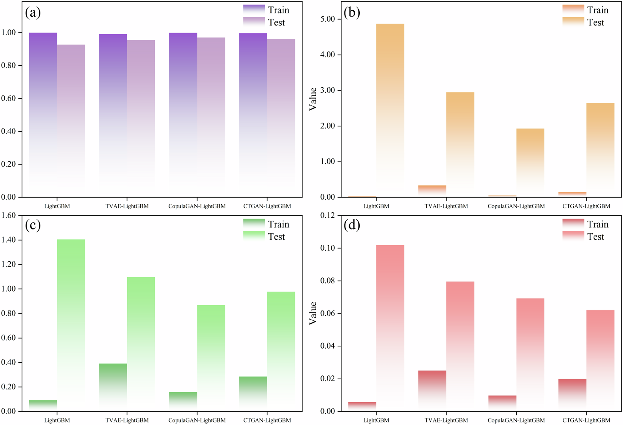
Fig. 3: LightGBM model performance on the training and testing datasets.
From: Advancing LightGBM with data augmentation for predicting the residual strength of corroded pipelines

a The R2 of the model, b the MSE of the model, c the MAE of the model, and d the MAPE of the model.