Fig. 1
From: High PSQI score is associated with the development of dyskinesia in Parkinson’s disease

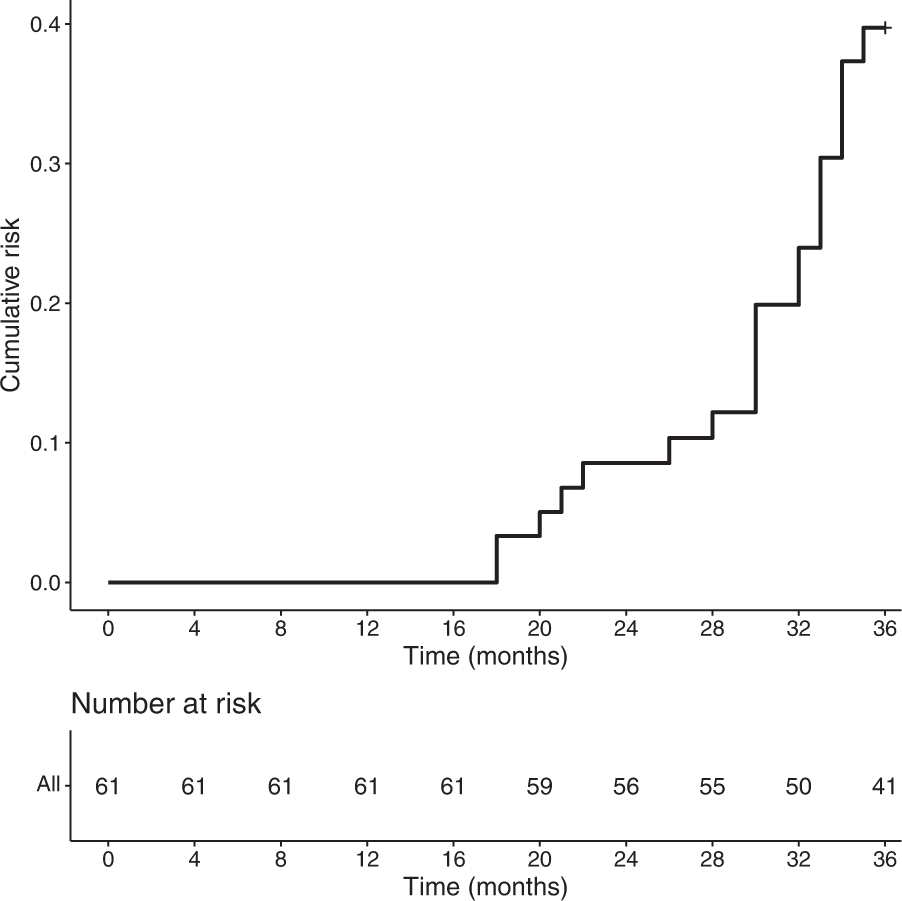
Kaplan–Meier estimates showing cumulative risk of dyskinesia in PD patients.
From: High PSQI score is associated with the development of dyskinesia in Parkinson’s disease

Kaplan–Meier estimates showing cumulative risk of dyskinesia in PD patients.