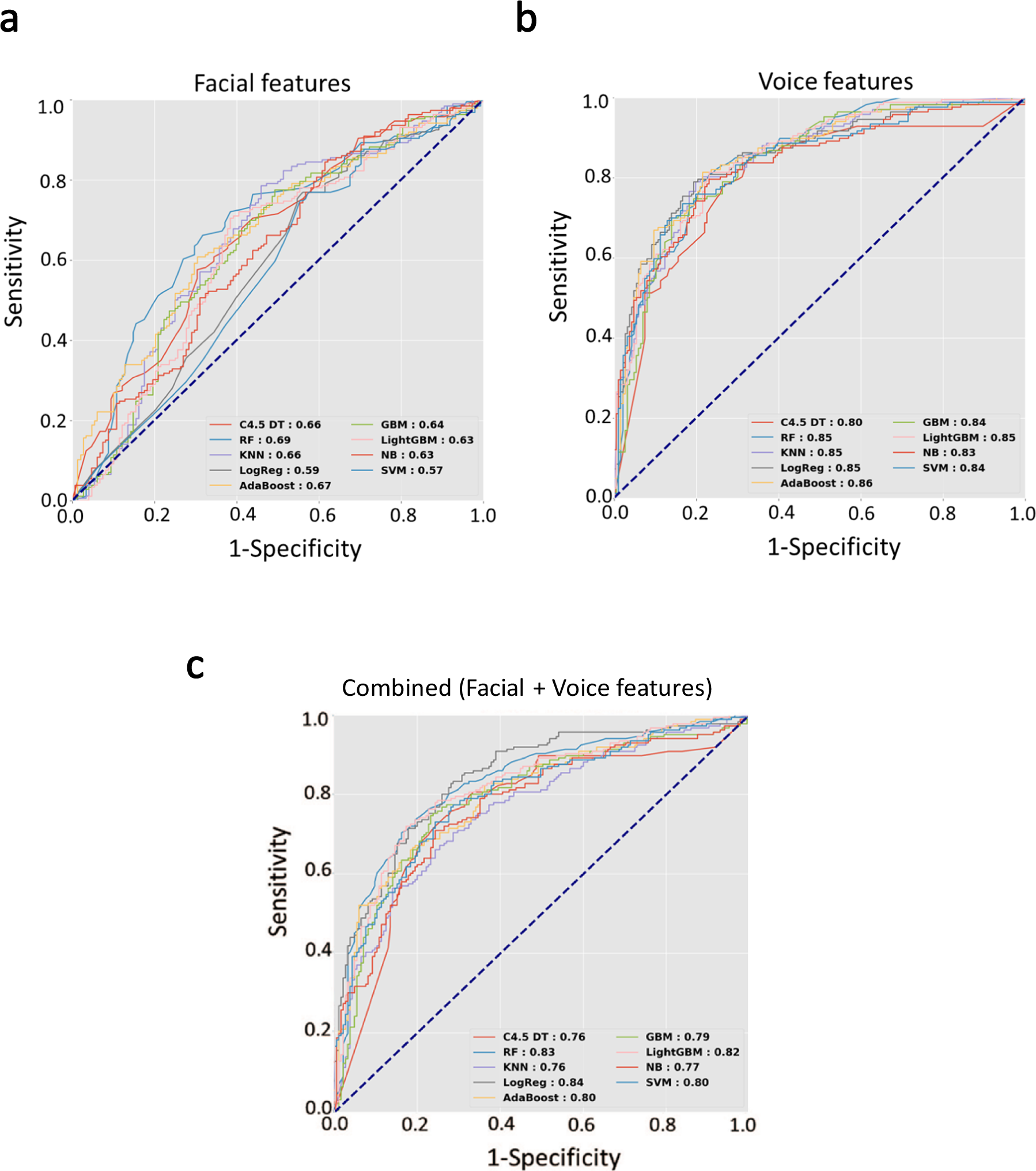
Fig. 1: Receiver operating characteristic curves calculated with nine deep-learning classifier models.
From: An integrated biometric voice and facial features for early detection of Parkinson’s disease

The models were used to evaluate the predictive value of either a facial features alone, b voice features alone, or c combined both features. The area under the curve indicates the ability to differentiate between the entire patient cohort and the controls, in the training dataset.