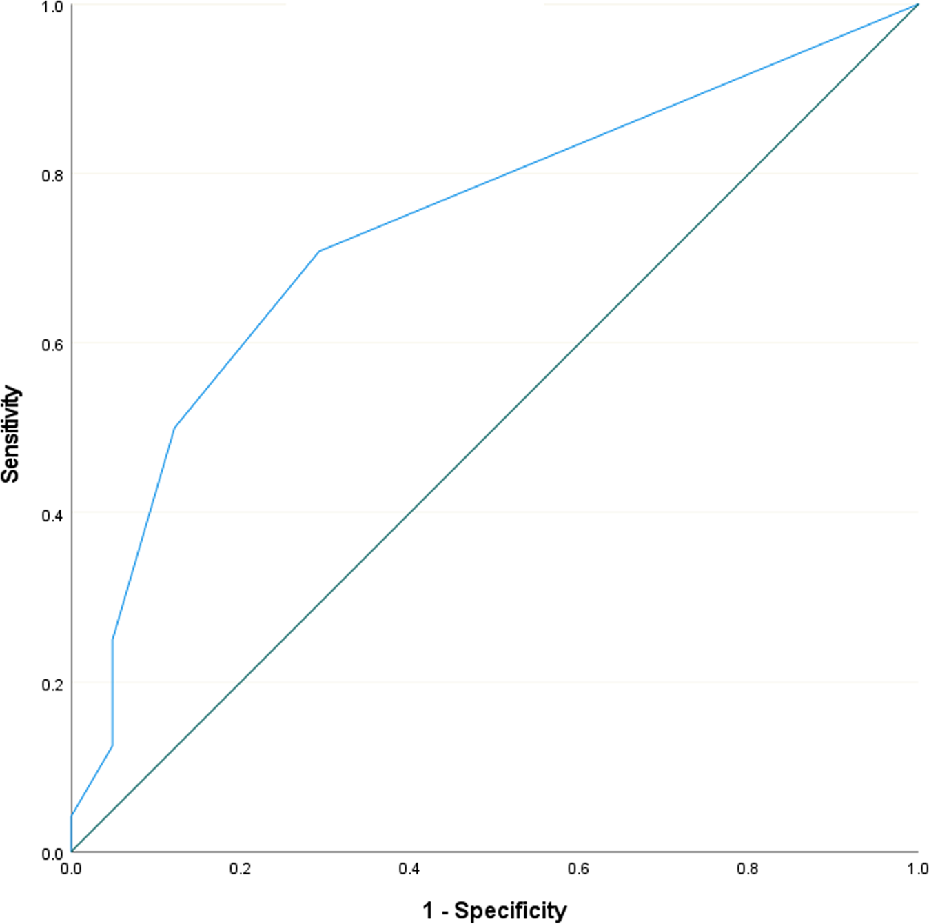
Fig. 2: Predicting Dysphagia for Medication.

Receiver operating characteristic (ROC) curve with the sum score of the 2 swallowing-related Unified Parkinson’s Disease Rating Scale items predicting at least moderate overall dysphagia for medication.

Receiver operating characteristic (ROC) curve with the sum score of the 2 swallowing-related Unified Parkinson’s Disease Rating Scale items predicting at least moderate overall dysphagia for medication.