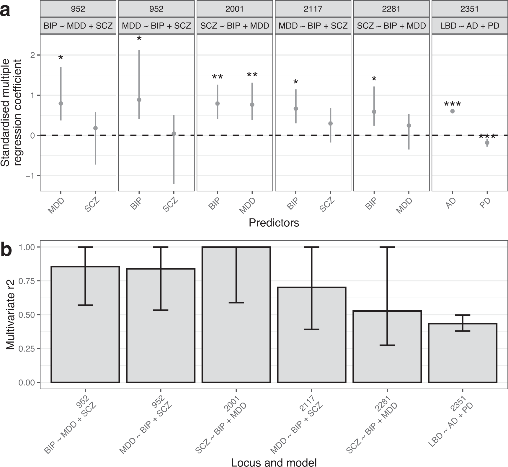
Fig. 3: Multiple regression across LD blocks with multiple trait pair correlations.
From: Local genetic correlations exist among neurodegenerative and neuropsychiatric diseases

For both plots, only those multiple regression models with at least one significant predictor (p < 0.05) are shown (for models where all predictors were non-significant, see Supplementary Fig. 4). a Plots of standardised coefficients for each predictor in multiple regression models across each LD block, with whiskers spanning the 95% confidence interval for the coefficients. Panels are labelled by the LD block identifier and the regression model. b Multivariate \(r^2\) for each LD block and model, where multivariate \(r^2\) represents the proportion of variance in genetic signal for the outcome trait explained by all predictor traits simultaneously. Whiskers span the 95% confidence interval for the \(r^2\). ***p < 0.001; **p < 0.01; *p < 0.05. Coordinates for LD blocks (in the format chromosome:start-end, GRCh37): 952, chr6:27,261,036-28,666,364; 2001, chr14:71,140,427-72,665,319; 2117, chr16:12,793,150-13,893,407; 2281, chr18:52,512,524-53,762,996; 2351, chr19:45,040,933-45,893,307.