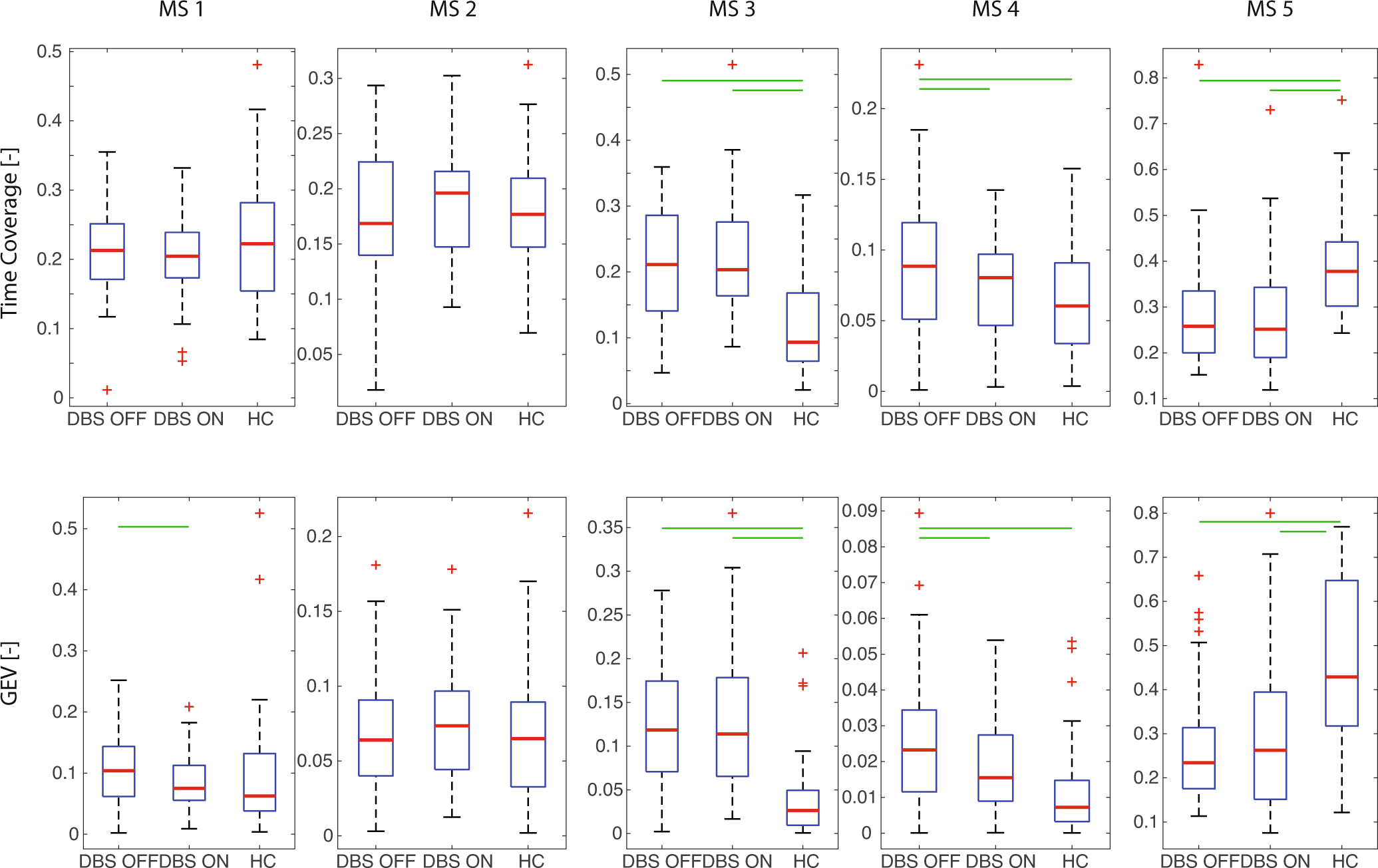
Fig. 2: Comparison of temporal parameters (time coverage top, GEV bottom) of five identified microstates in each analyzed group.
From: The effect of deep brain stimulation in Parkinson’s disease reflected in EEG microstates

Each box covers the data from 25th to 75th percentiles; the red line in each box represents the median over subjects in a particular group, and whiskers represent 1.5 times the interquartile range (IQR). Red crosses show the outliers. Green lines mark significant differences (p < 0.05 FDR).