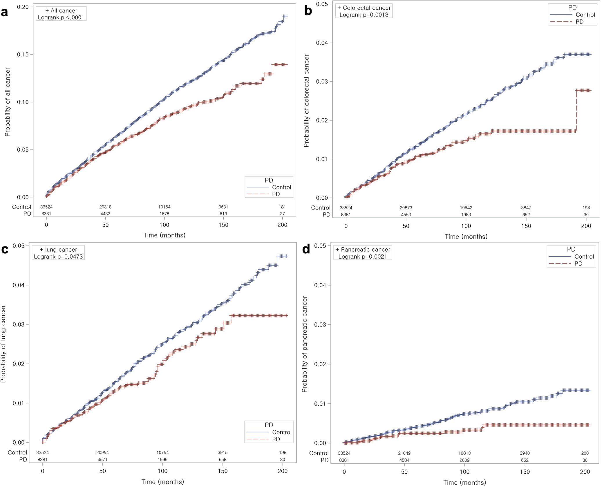
Fig. 2: Kaplan–Meier curves and statistical comparisons of the time to development of cancer in PD and control groups.
From: Longitudinal study of the inverse relationship between Parkinson’s disease and cancer in Korea

The incidence probabilities of overall cancer (a), colorectal cancer (b), lung cancer (c), and pancreatic cancer (d) were lower in patients with PD than in controls.