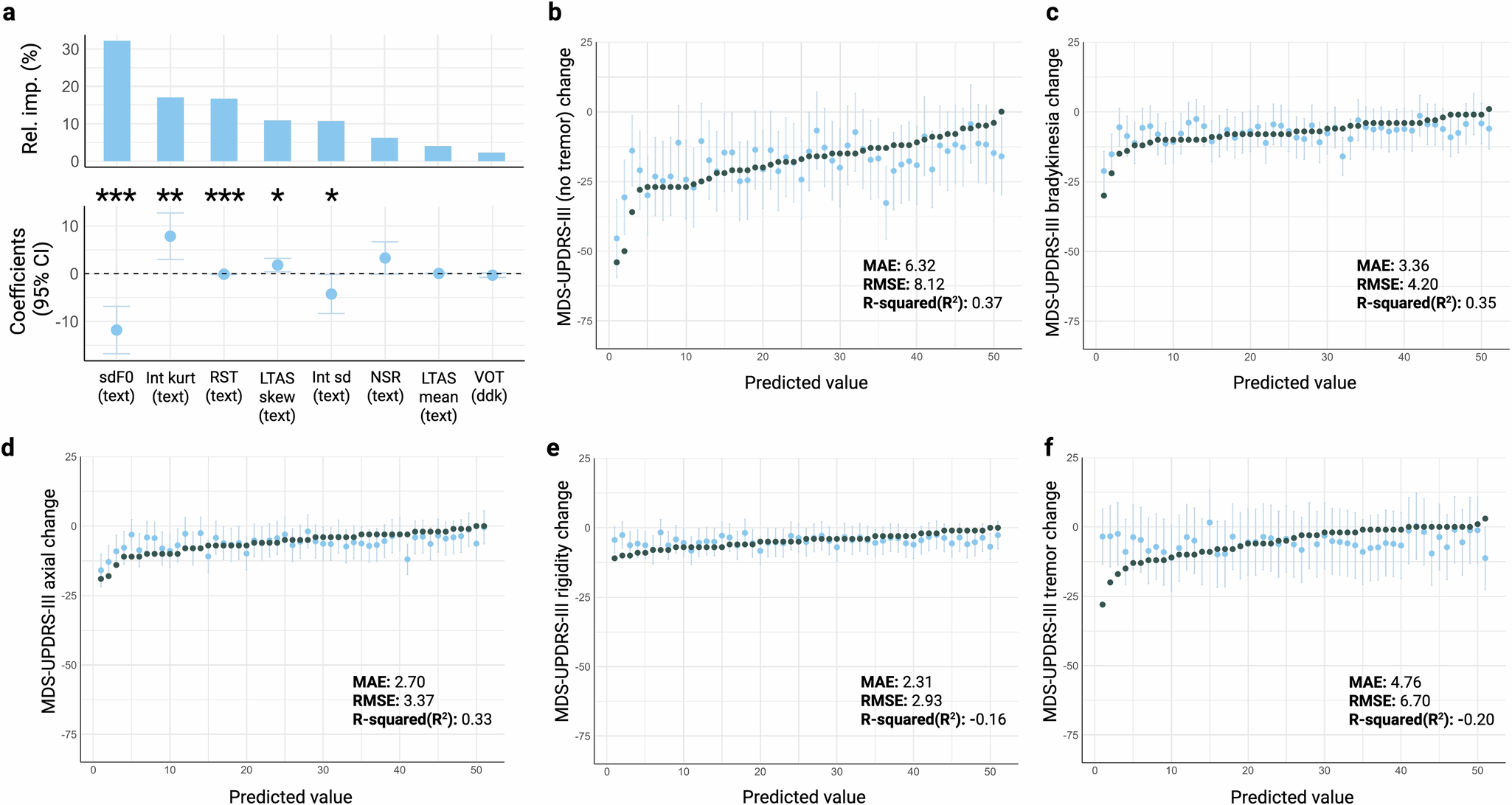
Fig. 2: Hypokinetic model for digital speech features selection and accuracy to detect changes in hypokinetic symptoms of PD.
From: Digital speech biomarkers can measure acute effects of levodopa in Parkinson’s disease

a Backward stepwise linear regression model plot depicting the model’s relative importances, regression coefficients, and 95% Confidence Intervals to predict changes in hypokinetic symptoms of PD (MDS-UPDRS-III without tremor items). b Actual value of the change in MDS-UPDRS-III (without tremor items) [grey] vs the predicted value and respective 95% CI (blue). c Actual value of the change in MDS-UPDRS-III bradykinesia subscore (grey) vs the predicted value and respective 95% CI (blue). d Actual value of the change in MDS-UPDRS-III axial subscore (grey) vs the predicted value and respective 95% CI (blue). e Actual value of the change in MDS-UPDRS-III rigidity subscore (grey) vs the predicted value and respective 95% CI (blue). f Actual value of the change in MDS-UPDRS-III tremor subscore (grey) vs the predicted value and respective 95% CI (blue). *p < 0.05, **p < 0.01, ***p < 0.001. VOT Voice to onset time, NSR Net speech rate, RST Rate of speech timing, Int sd Standard deviation of Intensity, Int kurt Kurtosis of intensity, sdF0 standard deviation of fundamental frequency, LTAS Long-term averaged spectrum, sd Standard deviation, kurt Kurtosis, skew Skewness, CI Confidence Interval, MAE Mean absolute error, RMSE Root mean squared error. Created in https://BioRender.com.