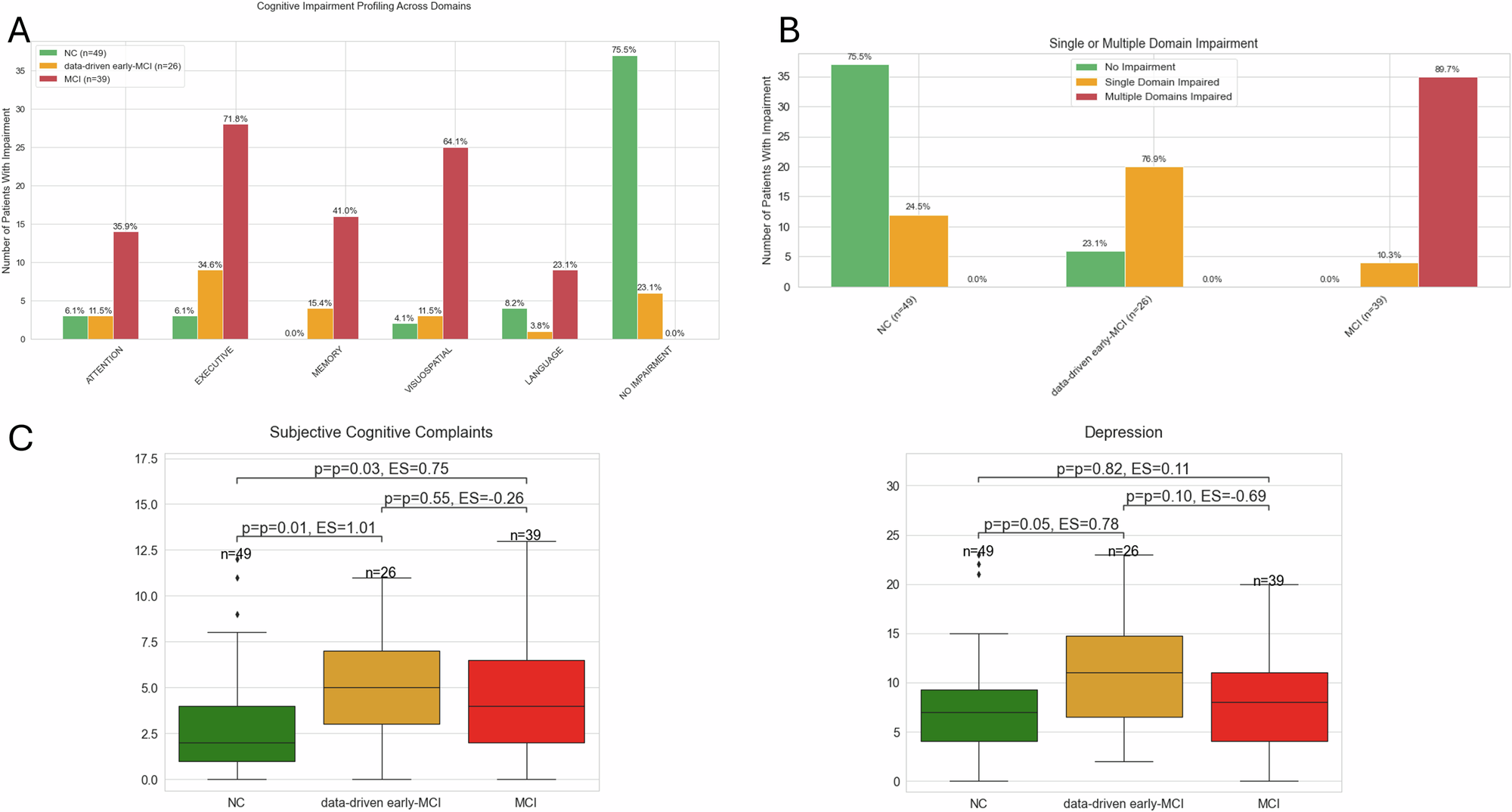
Fig. 4: Cognitive impairment profile.

A Bar plot showing the proportion of individuals within each group (NC: green, data-driven early-MCI: yellow, MCI: red) without any impairments or with an impairment by cognitive domain (attention, executive, memory, visuospatial, and language). B Bar plot showing the proportion of individuals without impairment (green), single domain impairment (yellow), and multiple domain impairment (red) within the NC, data-driven early-MCI, and MCI groups. Percentages, in both graphs, were calculated relative to the total number of participants in each group (NC: n = 49; data-driven early-MCI: n = 26; MCI: n = 39). C Box plot showing the differences in depression and subjective cognitive decline across the identified groups. Each subgroup is represented by a colour: NC (green), data-driven early-MCI group (yellow), and MCI (red). Statistical comparisons were performed using two-tailed Mann–Whitney U tests (due to the non-normal distribution of the features), with p-values adjusted for multiple comparisons using the Benjamini–Hochberg procedure. The alpha level was set at α = 0.05. Outliers are represented as individual diamonds, and the interquartile ranges are shown within each box.