Fig. 3
From: Multi-mode ultra-strong coupling in circuit quantum electrodynamics

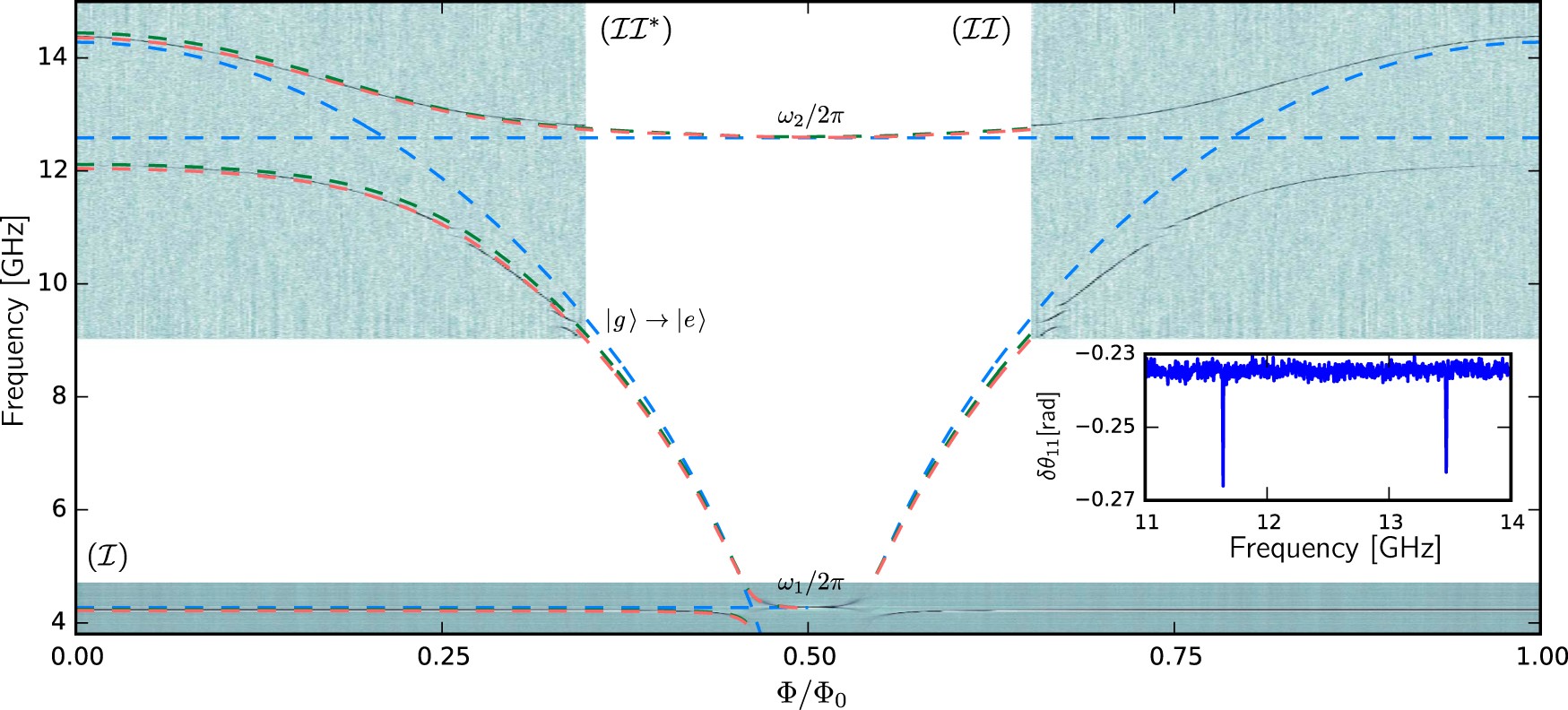
Multi-mode spectrum. Color plot composed of two spectroscopic measurements of device B (350 nm vacuum-gap capacitor). The bottom frame, \(\left( {\cal I} \right)\), shows data obtained as in Fig. 2. The top frame, \(\left( {{\cal I}{\cal I}} \right)\), shows data from a two-tone spectroscopy measurement from the change in the reflection phase of a weak probe tone at the cavity frequency (ω 1), as a function of a secondary drive tone. We plot the derivative of this phase \(\delta \theta _{11} = \partial \varphi \left[ {\tilde S_{11}(\omega )} \right]{\mathrm{/}}\partial \omega\). Frame \(\left( {{\cal I}{\cal I}^*} \right)\) is a mirrored copy of the same data. The blue dashed lines show the transition frequencies of the uncoupled cavities (ω 1, ω 2) and the first transition (\(\left| g \right\rangle\) to \(\left| e \right\rangle\)) of the qubit. The red and green dashed lines show the hybridized spectrum without and with a RWA, respectively. Note that we observe in the top frame a few avoided crossings indicating the presence of two-level systems (TLSs) strongly coupled to the qubit. The inset shows the vacuum Rabi splitting of the qubit with ω 2, giving Δ2,VRS = 2π × 1.82 GHz, plotted as change in reflection angle of the probe tone at ω 1