Fig. 6
From: One-dimensional quantum computing with a ‘segmented chain’ is feasible with today’s gate fidelities

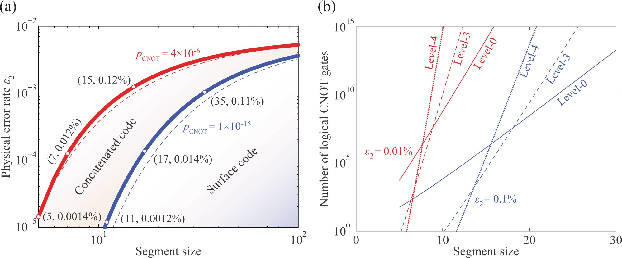
a The physical error rate ε2 and the segment size s required to achieve the surface-code logical error rate pCNOT. The red curve corresponds to pCNOT = 4 × 10−6, and the blue curve corresponds to pCNOT = 10−15. These two curves are calculated using Eq. (1) with parameters given in Table 1 in the Appendix. Results obtained using Eq. (2) are also plotted in the figure as dashed curves. Errors are firstly corrected using the surface code. When the physical error rate is not low enough or segments are not large enough (e.g., to achieve pCNOT = 10−15), we need the concatenated code on top of the surface code to further correct errors. pCNOT = 4 × 10−6 is the threshold of the regime that the concatenated code works, therefore the red curve is the threshold of the overall protocol. b The average number of logical CNOT gates that can be performed in a quantum algorithm before getting one logical error. For the level-0 encoding, only the surface code is used to correct errors, and the number of gates is 1/pCNOT. For the level-3 and level-4 encoding, the number of gates is 1/PCNOT. pCNOT is calculated using Eq. (1), and PCNOT is calculated using Eq. (3). Parameters in these two equations are given in Tables 1 and 2 in the Appendix