Fig. 2
From: Optimized electrical control of a Si/SiGe spin qubit in the presence of an induced frequency shift

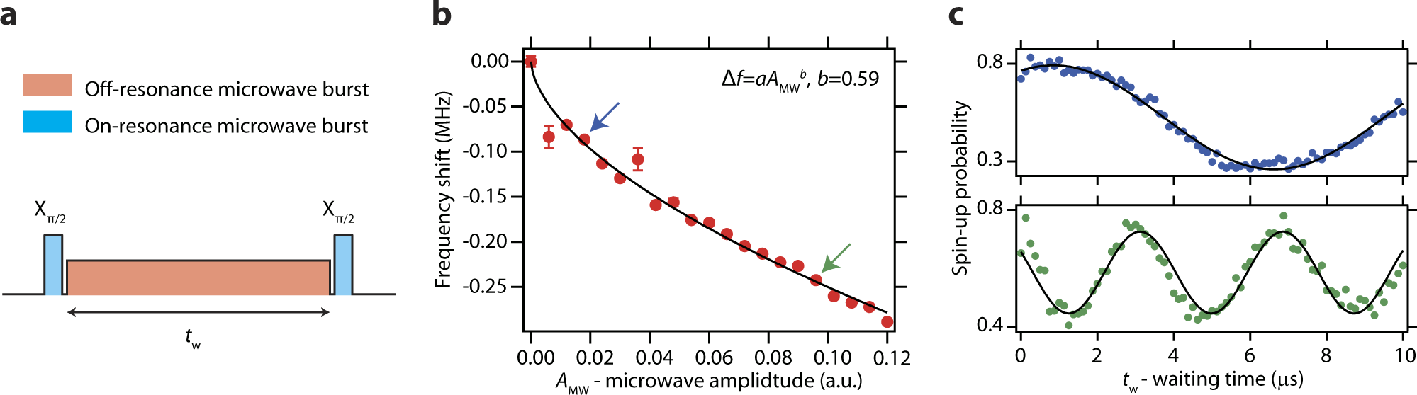
Resonance frequency shift measurements (device B). a Schematic showing the modified Ramsey sequence. During the waiting time tw, an off-resonance microwave burst with a rectangular envelope is applied to observe the microwave-induced frequency shift. b Resonance frequency shift Δf measured as a function of the off-resonance microwave amplitude AMW. The red points show the experimental data and the black solid line shows a power-law fitting Δf = aAMWb with b = 0.59. c Ramsey fringe oscillations measured under the conditions indicated by the arrows in Fig. 2b. The black solid lines show sinusoidal fitting curves