Fig. 4
From: A generative modeling approach for benchmarking and training shallow quantum circuits

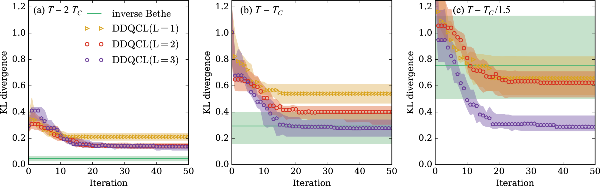
DDQCL preparation of coherent thermal states. We generated 25 random instances of size N = 5 and varied the difficulty of the learning task by decreasing the temperature in T ∈ {2Tc, Tc, Tc/1.5} where Tc is the reference temperature (see Section “Methods” for details). The model is a quantum circuit with five qubits and an all-to-all qubit connectivity for the entangling layer. We show the bootstrapped median and 90% confidence interval over the distribution of medians of the KL divergence of DDQCL as learning progresses for 50 iterations. a When T > Tc, the learning task is easy and shallow quantum circuits such as L = 1 (yellow triangles) and L = 2 (red circles) perform very well. b When T ≈ Tc, a gap in performance between circuits of different depth becomes evident. c When T < Tc, the learning task becomes hard and deeper circuits perform much better than shallow ones. We also report results for the inverse Bethe approximation, which does not actually prepare a state, but produces a classical model in closed-form. The classical model so obtained (green band) is excellent for the easy task in a, matches the best quantum model in b, and underperforms for the hard task in c