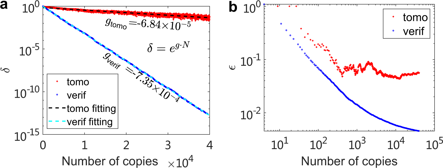
Fig. 6: Comparison of standard quantum-state tomography and present verification strategy.
From: Towards the standardization of quantum state verification using optimal strategies

In the figure, we give the variation of a δ and b ϵ vs. the number of copies N by using standard quantum-state tomography (tomo) and present verification strategy (verif). For standard tomography, the fidelity F ± ∆F is first obtained from the reconstructed density matrix of each copy N. Then confidence parameter δ is estimated by assuming normal distribution of the fidelity with mean F and SD ∆F. The infidelity parameter ϵ is estimated by ϵ = 1 − F. It is noteworthy that the experimental data symbols shown in a looks like lines due to the dense data points.