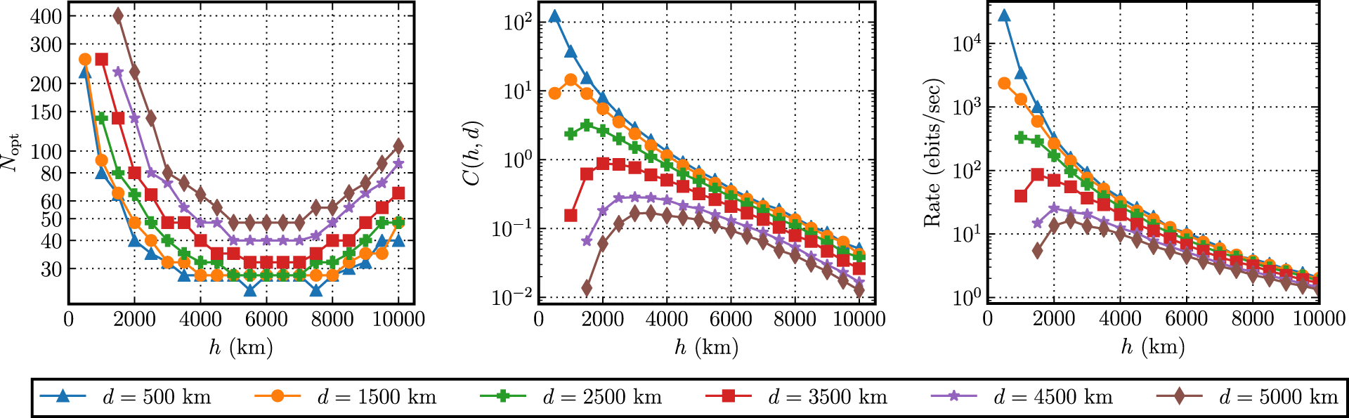
Fig. 3: Simulation results for two ground stations at the equator separated by a distance d.

Left—optimal number Nopt(h, d) of satellites for continuous 24-h coverage. Center—Figure of merit in eq. (4) in units of ebits/s per satellite. Satellite configurations corresponding to the maxima of the curves are shown in Table 1. Right—entanglement-distribution rates corresponding to the points in the plot in the central panel. We assume a source rate of Rsource = 109 ebits/s100.