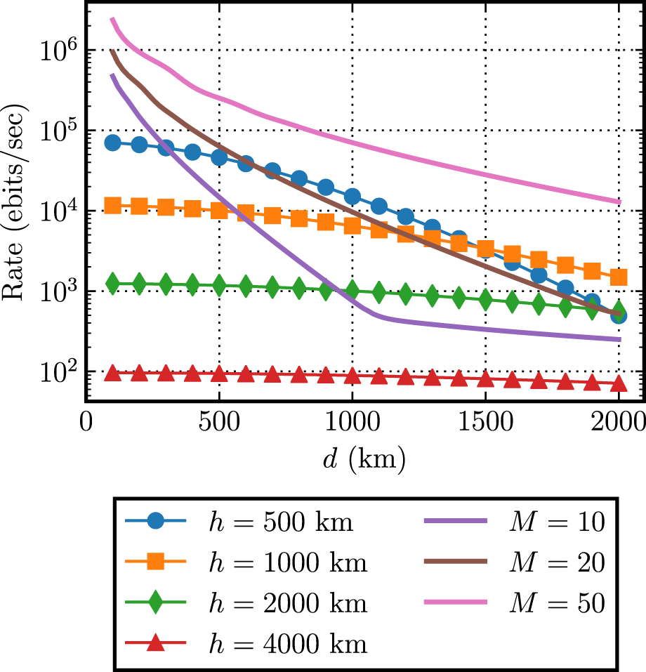
Fig. 7: Comparison of satellite-based entanglement distribution to ground-based repeater-assisted entanglement distribution.

We consider two ground stations at the equator separated by a distance d, with NR = 20 satellite rings and NS = 20 satellites per ring. We compare to a ground-based repeater chain of the same distance d consisting of M elementary links of equal length and Nmem = 50 quantum memories per elementary link. The rate is given by eq. (5).