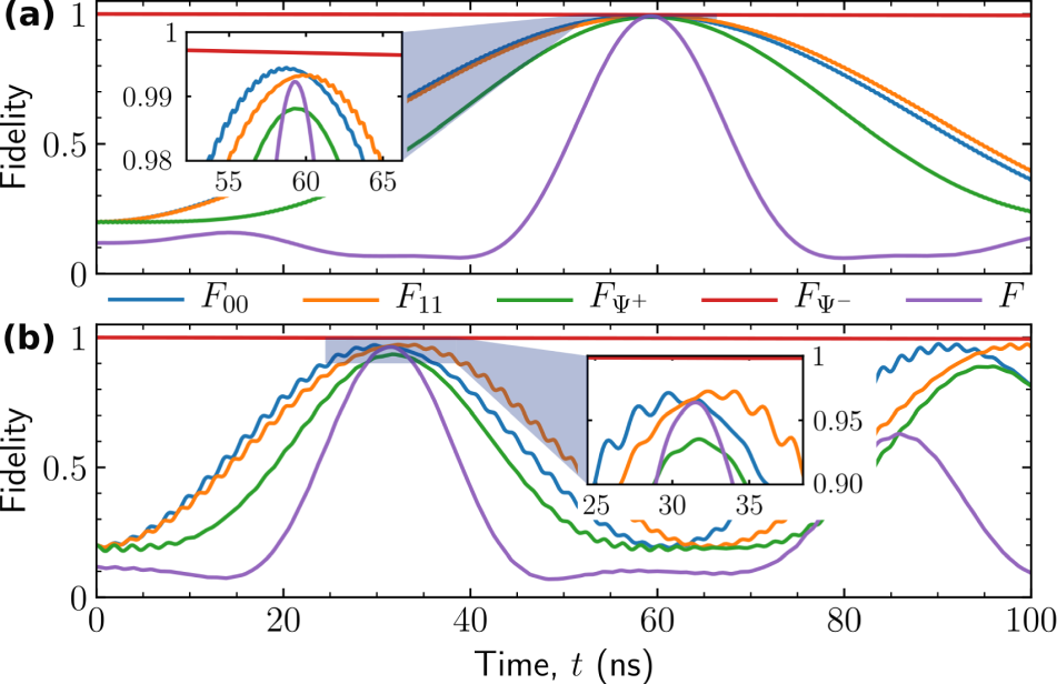
Fig. 3: Fidelities versus time.
From: Quantum interference device for controlled two-qubit operations

Fidelities for the individually controlled gates are F00, F11, \({F}_{{\Psi }^{+}}\), \({F}_{{\Psi }^{-}}\)) and the total diamond gate fidelity is F. Insets show zooms around the gate time. The parameters used in a are set 1 from Table 1, and in b they are set 2.