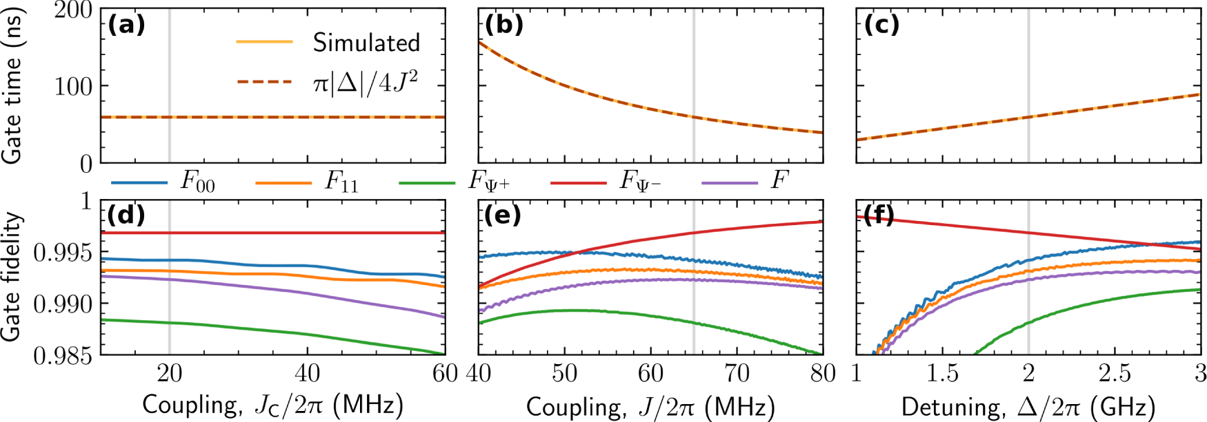
Fig. 4: Gate dependence of the model parameters.
From: Quantum interference device for controlled two-qubit operations

Simulations varying the model parameters JC, J and Δ, with qubit decoherence of rate γ = 0.01 MHz. While one parameter is varied, the remaining two are fixed at the values marked by the gray vertical lines (parameter set 1 of Table 1). a–c Gate times, also showing the prediction of Eq. (8) as the dashed line. d–f Gate fidelities, i.e. the fidelities at the simulated gate time.