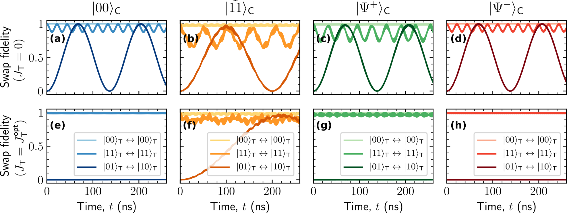
Fig. 7: Cancallation of unwanted transfer with engineered crosstalk.
From: Quantum interference device for controlled two-qubit operations

Fidelity for swapping \({\left|\psi \right\rangle }_{{\rm{T}}}\leftrightarrow {\left|\psi \right\rangle }_{{\rm{T}}}^{\prime}\) for the indicated processes, computed as \(| {\left\langle \phi \right|}_{{\rm{C}}}{\left\langle \psi \right|}_{{\rm{T}}}^{\prime}{{\rm{e}}}^{-{\rm{i}}({\tilde{H}}_{0}+{\tilde{H}}_{\mathrm {{int}}})t}{\left|\psi \right\rangle }_{{\rm{T}}}{\left|\phi \right\rangle }_{{\rm{C}}}{| }^{2}\), with the control state \({\left|\phi \right\rangle }_{{\rm{C}}}\) indicated above each column. The parameters used in the simulation are JC/2π = 20 MHz, J/2π = 65 MHz, ΩC/2π = 7 GHz, ΩT/2π = 9 GHz, αC = −270 MHz, and αT = −280 MHz. a–d No crosstalk, JT = 0. e–h Crosstalk is set to its optimal value of Eq. (19), \({J}_{{\rm{T}}}^{{\rm{opt}}}/2\pi =\,-\text{3.66}\,\ \,\text{MHz}\,\).