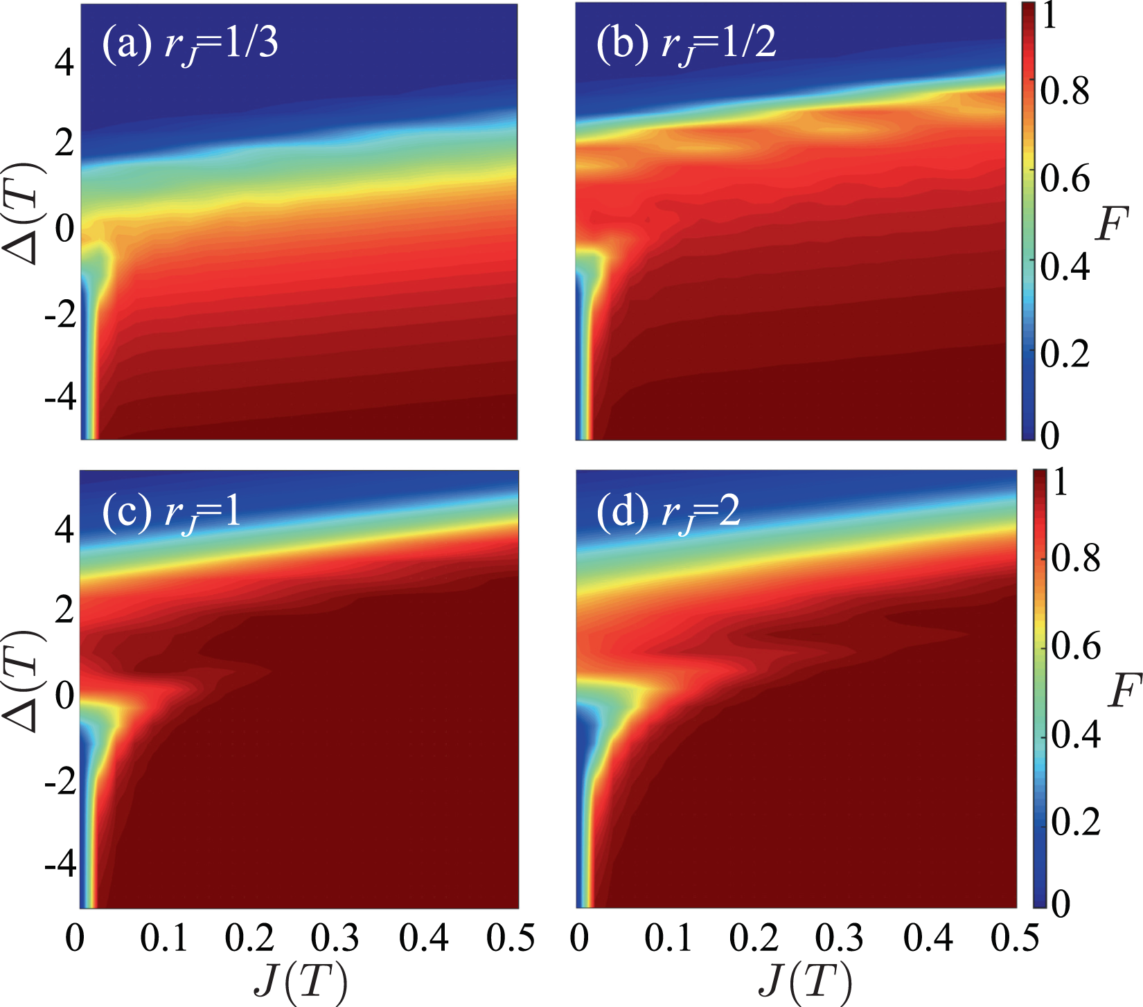
Fig. 6: Fidelity with SF initial state.
From: Robust preparation of many-body ground states in Jaynes–Cummings lattices

a–d Fidelity of the prepared state F vs target hopping rate J(T) and target detuning Δ(T) for ramping index rJ given in the panel. Here g(0) = 0, g(T) = 1, J(0) = 0.5, Δ(0) = 0, rg/rJ = rΔ/rJ = 1, and T = 15π/g.