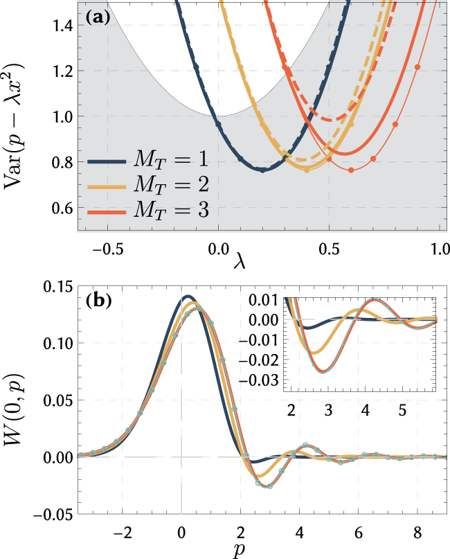
Fig. 2: Results of the simulations.
From: Stroboscopic high-order nonlinearity for quantum optomechanics

Results of stroboscopic application of cubic nonlinear potential V = γx3/(6τ) to the squeezed thermal state (initial occupation n0 = 0.05, squeezing s = 1.2) over multiple (MT = 1, 2, or 3) halves of mechanical periods. a Squeezing of nonlinear quadrature. Thick lines correspond to stroboscopic method with realistic parameters and thermal noise, thin lines, to purely unitary application of the nonlinearity. Dashed lines correspond to the result of evolution driven by the full Hamiltonian \(\hat{H}\) (1) from the same initial state over time τ, 2τ, and 3τ respectively. b Wigner function of motional states. Solid lines correspond to the same states from (a). Cyan line with markers (overlapping with solid red line) shows the unitary application of nonlinearity. Other parameters are as follows: potential stiffness γ = γ0 = 0.2, application duration τΩm = Θ = Θ0 = π/100, environmental thermal heating rate parameter H0 = 4πHm/Ωm = 0.002.