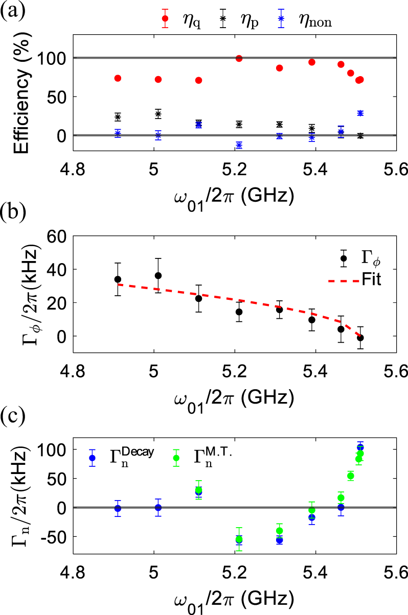
Fig. 4: Intrinsic quantum efficiency, pure dephasing and non-radiative decay rates as a function of the qubit frequency.
From: Quantum efficiency, purity and stability of a tunable, narrowband microwave single-photon source

a The intrinsic quantum efficiency ηq for our single-photon source over the 600 MHz tunable range. The efficiency is limited by the pure dephasing rate and the non-radiative decay rate of the qubit. These two factors reduce the efficiency by ηp and ηn respectively, where we have ηq + ηp + ηn = 1. b Pure dephasing rate Γϕ as a function of the qubit frequency. c Nonradiative decay rate Γn as a function of the qubit frequency, where we have \({{{\Gamma }}}_{{{{{{\rm{n}}}}}}}^{{{{{{\rm{Decay}}}}}}}={{{\Gamma }}}_{{{{{{\rm{1}}}}}}}^{{{{{{\rm{Decay}}}}}}}-{{{\Gamma }}}_{{{{{{\rm{r}}}}}}}\) and \({{{\Gamma }}}_{{{{{{\rm{n}}}}}}}^{{{{{{\rm{M.T.}}}}}}}={{{\Gamma }}}_{{{{{{\rm{1}}}}}}}^{{{{{{\rm{M.T.}}}}}}}-{{{\Gamma }}}_{{{{{{\rm{r}}}}}}}\). \({{{\Gamma }}}_{{{{{{\rm{1}}}}}}}^{{{{{{\rm{Decay}}}}}}}\) and \({{{\Gamma }}}_{{{{{{\rm{1}}}}}}}^{{{{{{\rm{M.T.}}}}}}}\) are extracted from the exponential decay of the qubit power emission and the off-resonant Mollow-triplet spectrum from the qubit fluorescence, respectively. The value of Γr is from the reflection coefficient measurement. In all panels, the error bars are two standard deviations.