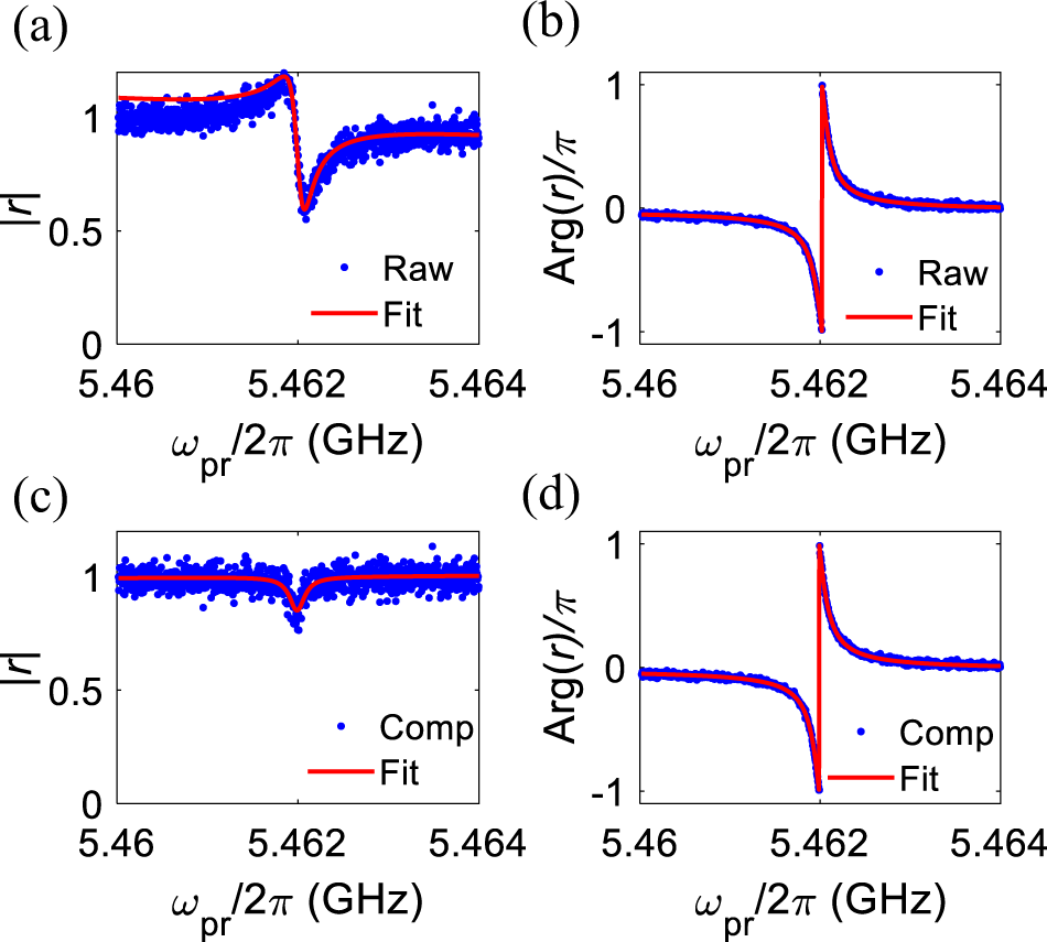
Fig. 8: Impedance mismatch.
From: Quantum efficiency, purity and stability of a tunable, narrowband microwave single-photon source

Panels a, b are the magnitude and phase response of the reflection coefficient before compensating the impedance mismatch. Panels c, d are the magnitude and phase response of the reflection coefficient after compensating the impedance mismatch.